2. 福建对外经济贸易职业技术学院, 福州 350002
2. Fujian International Business and Economic College, Fuzhou 350002, China
合作对策研究一般假设局中人之间可以任意组成联盟关系.但现实情况中, 由于资源、信任程度、地缘等因素限制, 有些局中人的联盟是无法达成的.针对这种具有限制联盟合作对策, Myerson[1]利用无向图中节点集和边集分别表示局中人集合和其联盟关系, 提出了联盟图合作对策模型及其Shapley值, 并说明经典合作对策Shapley值是其特例. Brandt等[2]研究了图合作对策中的4种Nash均衡情况, 并求出其混合均衡解. Mosquera[3]利用联盟图合作对策理论建立公路结构图对策模型, 并提出公路建设成本分配策略.王文文等[4]提出联盟图合作对策τ值, 利用分支有效性、S-均衡下的相对不变性和限制成比例讨论τ的公理化方法. Talman等[5]定义了联盟图合作对策平均树解, 并讨论了该解处于核心的条件.以上研究都是基于传统的图合作对策.而实际中, 由于环境变动、可调配资源不确定等因素, 局中人可能以模糊联盟的形式参与合作.目前, 此类对策研究主要是对无联盟限制的经典合作对策的模糊拓展. Tsurumi等[6]引入Choquet积分方法, 提出了模糊联盟合作对策Shapley值, 这类函数具有单调性、连续性; 谭春桥等[7-8]提出了基于Choquet积分的合作对策模糊延拓方法, 讨论了这种模糊延拓的性质, 研究了其与经典合作对策Shapley值和模糊核心的关系; Li等[9]通过与文献[6]的计算方法进行比较分析, 给出了模糊联盟合作对策Shapley值的一种简单表示方式; 孟凡永等[10]研究了模糊联盟合作对策Banzhaf值定义及其公理性质; 杨靛青等[11]利用多维线性拓展方法, 提出模糊联盟合作对策τ值及其性质, 并讨论了其与模糊核心的关系.关于模糊联盟图合作对策研究方面的文献较少, Jimenez-Losada等[12]对清晰联盟图合作对策Shapley值进行模糊拓展, 定义了模糊联盟图对策的Myerson值; 聂翠萍等[13]对经典平均树解进行推广, 提出了模糊联盟图合作对策平均树解.但尚未发现有关模糊联盟图合作对策τ值的研究.
本文探讨模糊联盟图合作对策τ值的定义和性质, 利用Choquet积分方法定义模糊联盟图合作对策τ值, 讨论此类合作对策τ值满足的性质, 并证明其与模糊核心的关系.特别针对凸模糊联盟图合作对策, 简化其τ值计算公式.最后通过一个算例来说明该τ值的合理有效性.研究结果表明, 模糊联盟图合作对策τ值将联盟图合作对策τ值的应用范围从{0, 1}n清晰联盟拓展到[0, 1]n模糊联盟.模糊联盟图合作对策τ值为解决在模糊环境且局中人联盟存在限制条件下的合作利益分配问题提供了一种新方法.
1 预备知识设N = {1, 2, …, n}为n个局中人集合, N的任意非空子集S称为一个联盟.将空集∅称为一个特殊联盟, n个局中人能形成2N个联盟.经典合作对策可表示为一个序对〈N, v〉, 其中N为n个局中人集合, v为合作对策的支付函数, 它是N的幂集2N到实数集R的映射, 即v : 2N → R且满足v(∅) = 0.记G(N)为N上所有合作对策的集合.为方便起见, 将N\{i}简写成N\i, v({i})简写成v(i), v(S ∪{i})简写成v(S ∪ i).
模糊联盟合作对策表示为一个序对〈Fn, v'〉, Fn为n个局中人的模糊联盟集合[0, 1]n, v'为支付函数, 即v' : Fn → R.记G0(N)为所有模糊联盟合作对策的集合. eS = (s1, s2, …, sn), 当i ∈ S ⊆ N时, si = 1, 否则si = 0, 表示局中人S集合参加合作, 其他人不参加. 

定义1[6] 设v' ∈ G0(N), 如果对于任意S1, S2 ∈ Fn, 有
|
则称v'为凸的(超模), 其中∨和∧分别表示取S1和S2对应向量分量的较大值和较小值.记凸模糊联盟合作对策的集合为FGcov(N).注意到当si只取1时, v'退化成凸合作对策, 记Gcov(N)为凸合作对策的集合.
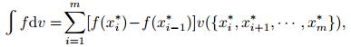
定义2[7] 对于非空集M上所有有界非负可测函数f : M → R+, 函数f关于v的Choquet积分[11]定义为
|
其中Fα = {x|f(x) ≥ α}(α ∈ [0, ∞))为函数f的α截集.
若非空集合M = {x1, x2, …, xm}, 则函数f可以表示成离散形式f(x1), f(x2), …, f(xm), 将它们按照单调不减次序可排列为
|
其中{x1*, x2*, …, xm*}为非空集合M中的元素{x1, x2, …, xm}依据上述单调不减排列的重排形式.于是, Choquet积分可简化为
|
其中f(x0*) = 0.
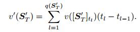
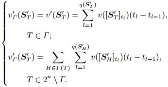
定义3[6] 对于v ∈ G(N), 给定模糊联盟S'N ∈ Fn.记Q(S'N) = {si|si > 0, i ∈ N}, 用q(S'N)表示Q(S'N)中的元素个数, 将Q(S'N)中元素按单调不减顺序排列为t1 ≤ t2 ≤ … ≤ tq(S'N).基于Choquet积分的模糊联盟合作对策的支付函数为
|
其中: T ⊆ N, [S'T]t = {i|si ≥ t, i ∈ T}, t ∈ [0, 1]; 对于任意S'T, 规定t0 = 0.称v'为关于v基于Choquet积分的模糊联盟合作对策, 记Gc(N)为基于Choquet积分的模糊联盟合作对策的集合.
由定义3可以看出, 清晰联盟合作对策v与关于v基于Choquet积分的模糊联盟合作对策v'之间存在一一对应关系, 而且如果v ∈ G(N)为单调、连续且凸的, 则对应的v'也是单调、连续且凸的[6].
传统模糊联盟合作对策研究假设局中人均愿意合作, 可以组成任意合作联盟形式.而实际中, 由于资源有限、信任程度等因素, 局中人之间的合作关系是有约束的, 并不能形成所有可能的合作联盟形式.因此有必要研究有限制模糊联盟结构的合作对策问题.
定义4[1] 一个联盟图可以表示为(N, E(N)), N为n个局中人集合, E(N)为联盟边集, 满足E(N) ⊆ {{i, j}|i, j ∈ N, i ≠ j}, 其中i和j为i, j ∈ N之间的一条联盟边. (N, E(N))的联盟子图(S, E(S))中集合S ⊆ N的任意两个节点通过边集E(S) = {{i, j} ∈ E(N)|i, j ∈ N, i ≠ j}可到达, 则称(S, E(S))为(N, E(N))的连通联盟子图, S为连通联盟.若〈N, Γ〉 = {S|S ⊆ N, (S, E(S))为(N, E)的连通联盟子图}, 则称〈N, Γ〉为联盟图结构, 记L(N)为集合N上所有联盟图结构集合. Γ (S)表示S ⊆ N在联盟图结构〈N, Γ〉的最大连通联盟集合.
联盟图结构〈N, Γ〉是Myerson给出的清晰联盟环境下的多人合作对策的限制联盟结构.在该结构中, 可用的联盟中局中人的参与程度要么是1 (即完全参与), 要么是0 (即完全不参与).但现实管理决策中, 参与合作的局中人可能是企业或公司, 他们考虑风险分摊、合作资源有限、信任关系以及市场不确定等因素, 可能以一定的参与程度参加具有限制的联盟结构, 即参与程度是[0, 1].这种考虑模糊联盟环境下的限制联盟结构, 可称为模糊联盟图结构, 显然该结构是定义3中联盟图结构的扩展.因此, 本文在Myerson的清晰联盟图结构基础上, 对模糊联盟图结构进行定义.
模糊联盟图结构可表示为〈Fn, Γ〉, 其中N = {1, 2, …, n}为局中人集合, Fn用于表示局中人集合N上的模糊联盟集合[0, 1]n, Γ ∈ L(N).记所有的模糊联盟图结构为FL(N).例如:当N = {1, 2, 3}, Γ = {{1}, {2}, {3}, {1, 2}, {2, 3}, {1, 2, 3},}时, 〈Fn, Γ〉表示3个局中人在特定的限制联盟结构Γ下, 所有可能模糊联盟形式.此时〈Fn, Γ〉={{s1}, {s2}, {s3}, {s1, s2}, {s2, s3}, {s1, s2, s3},}, 其中si∈[0, 1](i ∈ N)表示局中人i的联盟参与程度.显然当si = 1(i ∈ N)时, 该模糊联盟图结构退化为清晰联盟图结构, 即定义4的联盟图结构形式.可见, 清晰联盟图结构是模糊联盟图结构的特殊情况, 后者是前者的一般形式.
模糊联盟图合作对策可表示为〈Fn, v'Γ〉, 其中〈Fn, v'Γ〉 ∈ Gc(N), 〈Fn, Γ〉 ∈ FL(N).记FG(N)为所有模糊联盟图合作对策的集合.模糊联盟图合作对策中存在限制条件的联盟形式, 使得存在一些联盟形式无法形成, 因此模糊联盟图合作对策的支付函数v'Γ不能直接采用定义3的支付函数v'.考虑到模糊联盟图合作对策中只有连通联盟中局中人合作才能产生收益, 因此可将其支付函数定义为
|
(1) |
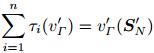
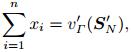
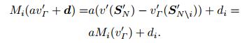
设〈Fn, v'Γ〉 ∈ FG(N)和S'N ∈ Fn, 对于每个i ∈ N, 局中人i对模糊联盟图合作的边际贡献可表示为
|
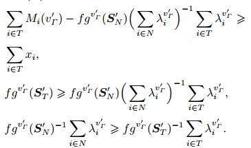
其中Mi(v'Γ)为局中人i的最大期望支付.若局中人i欲得到更多, 则其会被踢出联盟. M(v'Γ) = (M1(v'Γ), M2(v'Γ), …, Mn(v'Γ)) ∈ Rn称为v'Γ的上值向量.根据式(1), 有(T ∈ Γ (N), i ∈ T)
|
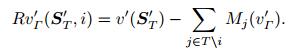
模糊联盟S'T中局中人i的剩余支付Rv'Γ (S'T, i)可表示为
|
其中: Rv'Γ (S'T, i)表示模糊联盟S'T中除i以外其他局中人都得到最大期望支付后, 局中人i得到的剩余支付. v'Γ下值向量m(v')的第i个分量mi(v'Γ)可表示为
|
它为局中人i的最小期望支付, 表示S'T中其他人得到最大期望支付时, 局中人i应得到最大的剩余支付.
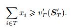
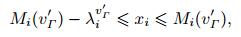
定义5 设〈Fn, v'Γ〉 ∈ FG(N).对于任意S'N ∈ Fn, 如果m(v'Γ) ≤ M(v'Γ)且

定理1 设v' ∈ Gc(N).若v' ∈ Gfcov(N), 则其对应的v'Γ ∈ FGfqb(N).
证明 由于v' ∈ Gfcov(N), 则对于任意S'N ∈ Fn, 有
|
其中T1, T2 ⊆ N且T1 ∩ T2 = ∅.由式(1) 可知, 对于任意T ⊆ N, 有
|
又依据图的特点, 可知
|
综上, 对于任意S'N ∈ Fn, 有
|
其中T1, T2 ⊆ N且T1 ∩ T2 = ∅, 因此v'Γ ∈ Gfcov(N).由于v'Γ是凸的, 则对于任意S'N ∈ Fn, 有v'Γ是均衡的[14].于是, 对于任意S'N ∈ Fn, 至少存在一组向量x满足
|
因此, 对于任意i ∈ N, 有
|
考虑上述关系, 对于任意T ⊆ N且i ∈ T, 有
|
对于每个i∈N, 若
|
则有m(v'Γ)≤x ≤ M(v'Γ), 因此有m(v'Γ)≤M(v'Γ), 且
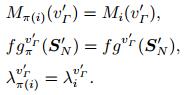
定义6 设〈Fn, v'Γ〉 ∈ FG(N).对于任意S'N ∈ Fn, 若函数fgv'Γ :Fn → R, 满足对于任意T ⊆ N, 有
|
则称fgv'Γ为模糊联盟图合作对策v'Γ的分歧函数.
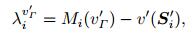
定义7 设〈Fn, v'Γ〉 ∈ FG(N).对于任意S'N ∈ Fn, 若向量λv'Γ ∈ Rn的每一个分量满足
|
则称λv'Γ为模糊联盟图合作对策v'Γ的特许向量.
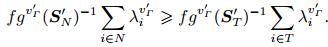
定理2 设v' ∈ Gc(N).若v' ∈ Gfcov(N), 则对于任意S'N ∈ Fn, 〈Fn, v'Γ〉 ∈ FG(N), 满足对于任意T ∈ Γ(N), i ∈ T, 有
|
(2) |
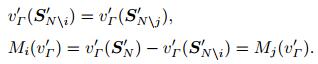
证明 由于v' ∈ Gfcov(N), 根据定理1, 有v'Γ ∈ Gfcov(N), 则根据定义1, 对于任意T ⊆ N\i, 有
|
根据定义6, 有fgv'Γ (S'T) ≤ fgv'Γ (S'T∪i), 因此对于任意T ⊆ N且i ∈ T, 有
|
根据定义7, 有
|
由于v' ∈ Gc(N), 根据式(1) 和定义2, 有v'Γ (S'i) = v'(S'i), 且Mi(v'Γ) = v'(S'T) -v'Γ (S'T\i), 因此对于任意T ∈ Γ(N), i ∈ T, 有
|
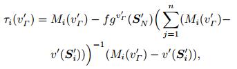
定义8 设〈Fn, v'Γ〉 ∈ FGfqb(N), 对于任意S'N ∈ Fn, 有
|
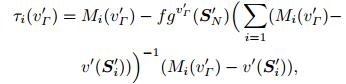
称τ(v'Γ)为模糊联盟图合作对策τ值.
定理3 设v' ∈ Gc(N).若v' ∈ Gfcov(N), 则对于任意S'N ∈ Fn, 〈Fn, v'Γ〉 ∈ FG(N)满足
|
(3) |
其中Mi(v'Γ) = v'(S'T) -v'Γ (S'T\i), i ∈ N.
证明 由于v' ∈ Gfcov(N), 根据定理1, 有v'Γ ∈ FGfqb.依据定义8, 对于任意i ∈ N, 有
|
又根据定理2, 对于任意i ∈ N, 有
|
则对于任意i ∈ N, 有
|
其中Mi(v'Γ) = v'(S'T) -v'Γ (S'T\i).
例1 设N = {1, 2, 3}和v ∈ G(N).其中v(i) = 0 (任意i ∈ N), v({1, 2}) = v({1, 3}) = 2, v({2, 3}) = 3, v({1, 2, 3}) = 4.当〈Fn, Γ〉 = {{s1}, {s2}, {s3}, {s1, s2}, {s2, s3}, {s1, s2, s3}}时, 若S'N = (0.2, 0.3, 0.5), 则基于Choquet积分的模糊联盟图合作对策τ值计算过程如下:
1) 判断模糊联盟图合作对策是否为凸.当S'N = (0.2, 0.3, 0.5) 时, 清晰联盟合作对策v对应的基于Choquet积分的模糊联盟图结构合作对策v'为v'Γ(S'i) = 0 (任意i ∈ N), v'Γ (S'{1, 2}) = 0.4, v'Γ (S'{1, 3}) = v'(S'1) + v'(S'3) = 0, v'Γ (S'{2, 3}) = 0.9, v'Γ (S'N) = 1.1.根据定义1, 显然该对策不是凸的.
2) 判断v'Γ是否满足拟均衡性.根据Mi(v'Γ)的定义, 得
|
根据mi(v'Γ)的定义, 得
|
显然满足m(v'Γ) ≤ M(v'Γ), 又满足


3) 计算τ值.根据定义7, 得

定理4 模糊联盟图合作对策τ值满足个体合理性、分支有效性、替换性、对称性、策略等价下的共变性和哑元性.
证明 1) 因v'Γ ∈ Gfqb(N), 由定义5可知, 有
|
于是
|
满足个体合理性.
2) 由定义8可知
|
又根据定义6, 有
|
则
3) 对于任意i, j ∈ N与T ⊆ N\{i, j}, 若v'Γ(S'T∪i) = v'Γ (S'T∪j), 则
|
同理, 可得
4) 设π是N的一个排列, 对于所有的i ∈ N和S'N ∈ Fn, 由Mi(v'Γ)、fgv'Γ和λv'Γ的定义, 可得
|
因此根据τ(v'Γ)值的定义, 可得τπ(i)(v'Γ) = τi(v'Γ), 满足对称性.
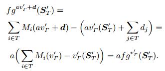
5) 若a > 0和d ∈ Rn, 则对于任意i ∈ N, 有
|
根据定义6, 对于任意T ⊆ N, 有
|
根据定义7, 有
6) 对于任意T ⊆ N\i, 若
|
则
|
从而
|
由定义5可知τi(v'Γ) ≤ v'Γ (S'i).又因为τi(v'Γ) ≥ v'Γ(S'i), 可得τi(v'Γ) = v'Γ (S'i), 满足哑元性.
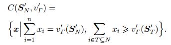
定义9 设〈Fn, v'Γ〉 ∈ FG(N)和S'N ∈ Fn. v'Γ的模糊核心C(S'N, v'Γ)可表示为
|
定理5 设v'Γ ∈ Gfqb(N)和S'N ∈ Fn, 且fgv'Γ (S'N) > 0. τ(v'Γ) ∈ C(S'N, v'Γ)满足的条件为
|
(4) |
其中: T ⊂ N, fgv'Γ (S'T) > 0且2 ≤ |T| ≤ n -2.
证明 令x = τ(v'Γ), 由τ值的定义和有效性可知, 对于任意i ∈ N, 有
|
且
|
因此, x ∈ C(S'N, v'Γ)等价于
|
现有A、B、C、D四家企业参与供应链合作项目, 由于产品上下游关系、相互竞争、投入合作的资源不确定性等原因, 这些企业的模糊联盟图结构
|
若他们完全参与合作, 则当i ∈ N时, 有v(i) = 10;当|S| = 2且S ⊂ {1, 2, 4}时, 有v(S) = 40, 其他v(S) = 60; v(1, 3, 4) = v(2, 3, 4) = 100, v(1, 2, 3) = 130; v(N) = 200.
根据定理2、定理3和定义8, 可以计算模糊联盟图合作对策τ值, 表 1是一组不同模糊联盟情况下的合作对策τ值.
| 表 1 不同模糊联盟情况下的τ值 |
这些τ值满足有效性、个体合理性和模糊核心条件.由于该合作对策问题满足凸性, 对λv'Γ计算可利用定理3的公式, 简化了τ值计算.基于Choquet积分模糊联盟图合作对策τ值可用于[0, 1]n空间内所有模糊联盟图结构的合作对策τ值计算, 是经典清晰联盟合作对策τ值的模糊拓展, 为解决在模糊环境且有限制联盟条件下局中人合作利益分配问题提供一种新方法.
5 结论本文利用Choquet积分方法对清晰合作对策进行模糊拓展, 在此基础上提出模糊联盟图合作对策的τ值.该τ值具有策略等价下的共变性、哑元性等性质.若模糊联盟图合作对策是凸的, 则其τ值存在且τ值计算可简化.算例表明, 利用模糊联盟图合作对策的τ值, 可以在限制模糊联盟环境下局中人合作时计算出一种合理的分配方案.本文仅研究模糊联盟图合作对策τ值的计算方法和性质, 对于支付值为区间值或模糊数的合作对策解的定义及性质尚有待研究.
| [1] |
Myerson R. Graphs and cooperation in games[J]. Mathematics of Operations Research, 1977, 2(3): 225-229. DOI:10.1287/moor.2.3.225 |
| [2] |
Brandt F, Fischer F, Holzer M. Equilibria of graphical games with symmetries[M]. Internet and Network Economics. Berlin Heidelberg:Springer, 2008:105-137.
|
| [3] |
Mosquera M. Essays on operations research games and cautious behavior[D]. Santiagoude Compostela:Faculty of Mathematics of the University of Santiago de Compostela, 2007. http://eio.usc.es/pub/io/xogos/MATERIALES/ThesisManuel.pdf
|
| [4] |
王文文, 孙浩, 韩卫彬. 图限制合作对策的τ值[J]. 运筹学学报, 2011, 15(4): 75-84. (Wang W W, Sun H, Han W B. The τ-value of cooperative games restricted by graph[J]. Operations Research Transactions, 2011, 15(4): 75-84.) |
| [5] |
Talman D, Yamamoto Y. Average tree solution and subcore for acyclic graph games[J]. J of the Operations Research Society of Japan, 2008, 62(1): 77-92. |
| [6] |
Tsurumi M, Tanino T, Inuiguchi M. A Shapley function on a class of cooperative fuzzy games[J]. European J of Operational Research, 2001, 129(3): 596-618. DOI:10.1016/S0377-2217(99)00471-3 |
| [7] |
谭春桥, 陈晓红. 基于Choquet积分的n人对策模糊延拓方法的研究[J]. 系统工程学报, 2009, 24(4): 479-483. (Tan C Q, Chen X H. Fuzzy extension of n-persons games based Choquet integral[J]. J of Systems Engineering, 2009, 24(4): 479-483.) |
| [8] |
谭春桥. 基于Choquet积分n人对策广义模糊延拓方法[J]. 系统工程学报, 2012, 27(2): 193-200. (Tan C Q. Generalized fuzzy extension of n-persons games based Choquet integral[J]. J of Systems Engineering, 2012, 27(2): 193-200.) |
| [9] |
Li S, Zhang Q. A reduced expression of the Shapley function for fuzzy game[J]. European J of Operational Research, 2009, 196(1): 234-245. DOI:10.1016/j.ejor.2008.02.034 |
| [10] |
孟凡永, 张强, 孙红霞. 模糊合作对策上的Banzhaf函数[J]. 系统工程学报, 2012, 27(1): 1-8. (Meng F Y, Zhang Q, Sun H X. Banzhaf function on fuzzy cooperative games[J]. J of Systems Engineering, 2012, 27(1): 1-8.) |
| [11] |
杨靛青, 李登峰. 基于多维线性扩展的模糊联盟合作对策τ性质与计算方法[J]. 运筹学学报, 2014, 19(2): 61-71. (Yang D Q, Li D F. Properties and solving method of τ-value for fuzzy cooperative games with multilinear extension form[J]. Operations Research Transactions, 2014, 19(2): 61-71.) |
| [12] |
Jimenez-Losada A, Fernandez J, Ordonez M. Myersion values for games with fuzzy communication structure[J]. Fuzzy Sets and Systems, 2013, 213(16): 74-90. |
| [13] |
聂翠平, 张强. 模糊联盟图对策的平均树解[J]. 运筹学学报, 2012, 16(4): 77-85. (Nie C P, Zhang Q. The average tree solution in graph games with fuzzy coalitions[J]. Operations Research Transactions, 2012, 16(4): 77-85.) |
| [14] |
Shapley L. Cores of convex games[J]. International J of Game Theory, 1971, 1(1): 11-26. DOI:10.1007/BF01753431 |
2017, Vol. 32
