2. 山东师范大学 数学与统计学院,济南 250014
2. School of Mathematics and Statistics, Shandong Normal University, Ji'nan 250014, China
1969年, Kauffman[1]首次利用布尔网络模型刻画了基因调控网络.该模型将基因状态抽象为“关闭”和“激活”两种状态, 分别用“0”和“1”表示, 从而利用布尔函数表示基因之间的相互作用, 进而研究基因调控、细胞分化等生物活动过程, 其研究结果显示布尔网络模型能够很好地刻画、预测生物活动过程的主要特征.布尔网络在“与”、“或”、“非”等逻辑运算下形成了状态更新规则, 然而这些逻辑运算式用传统的方法处理起来并不方便.
近年来, Cheng等[2]打破了普通矩阵乘法对于维数的限制, 提出了一种新的矩阵乘积——矩阵半张量积(Semi-tensor product of matrices), 将传统矩阵乘积推广到更一般的情况.利用矩阵半张量积方法, 可以极大地简化布尔网络的运算过程, 将繁杂的逻辑动态演化过程转化为简洁的离散迭代形式.关于矩阵半张量积, 郭雷[3]给予了高度评价, 称“矩阵的半张量积可能会成为计算机时代呼唤的新的数学工具之一, 可用以实现基于计算发现新现象, 解决新问题的目的”.在这一开创性成果的引领下, 布尔网络的应用范围已经从最初的系统生物学[4-8]扩展到博弈论[9-11]、密码学[12-14], 再到多智能体同步与队列控制[15-16]、有限自动机[17-21]、故障诊断与数字电路设计[22-23], 甚至网络查询与遥操作[24-25]、内燃发动机[26-27]、智能家居[28]等工程问题[29].
随着对布尔网络深入地研究, 人们发现布尔网络或者具有外部输入的布尔控制网络并不总能很好地刻画实际问题, 在某些生物系统或社交网络中, 往往存在这样一种情况:某些状态对应的实际情形是危险的, 不可取的[30], 此时其布尔控制网络模型的状态应包含于某个给定的集合.在基因调控网络中, 系统的某些状态甚至控制输入实际上都是不可取的, 这是因为它们很有可能会导致疾病的恶化, 甚至会造成癌细胞的扩散, 进而产生不可逆转的后果[31].例如: WNT5A基因网络, 基因Wnt5a的“激活”状态是不可取的, 因为该基因的激活会增加癌变细胞扩散的可能性[31-32].同样, 在疾病(如癌症)的治疗过程中, 外部施加的药物, 放射线、化疗等都有剂量限制[33], 因为过量的放射线会杀死大量健康细胞, 从而导致严重副作用.因此, 在研究基因调控网络时, 有必要对输入和状态施加一定的限制[34].文献[35]考虑了一个生物振子模型, 该布尔模型中部分节点并没有更新规则, 只是与其他状态处于一个实时的约束条件中.此时一般的布尔网络模型将不能完全发挥其作用, 而奇异布尔网络[35-38]恰好可以刻画这种模型.另外, 在一些决策模型中, 传统的布尔(控制)网络也有一些建模上的缺陷.如中国象棋可以认为是一个具有双输入的多值逻辑控制网络, 而且每一步的容许输入依赖于当前的局势(棋子的分布位置)[39], 即输入具有依赖于状态的时变约束.再如, 在经典决策模型-狼羊白菜渡河问题中, 狼与羊、羊与菜不能共存是同一时刻的限制条件, 而农夫每次最多载三者之一渡河, 是另一个限制条件, 这个限制条件是作用在相邻时刻的.由此建立的模型是一个更一般意义上的布尔网络-隐布尔网络, 从原有的显式动态网络推广到一种隐式形式[40].
以上建立的诸多模型, 一方面是对布尔(控制)网络体系的补充和完善, 另一方面也是将受限控制系统、奇异(控制)系统[41]向布尔网络方向的推广.由此出现的布尔(控制)网络, 统称为受限布尔(控制)网络, 是指带有限制的一类布尔(控制)网络, 是布尔(控制)网络的推广与延伸, 因为当受限布尔(控制)网络没有限制时, 受限的情形退化为一般的布尔(控制)网络.本文是对受限布尔(控制)网络的一个综述, 首先引入文中用到的符号:
1) 实矩阵A∈Rm × n的第i行、第j列以及(i, j)位置的元素分别记为Rowi(A)、Colj(A)、[A]i, j, i=1, 2, …, m, j=1, 2, …, n.另外, A的全部列构成A的列集, 记为Col(A).
2) 1n是元素全为1的n维列向量, 0是具有合适维数的零矩阵(或向量).
3) 矩阵A, B∈Rm × n, 
4) δni=Coli(In), In为n阶单位矩阵.
5) 设
6) 如果矩阵L∈Rm× n, 且Colj(L)∈Δm, j=1, 2, …, n, 则称L为逻辑矩阵.所有的m× n阶逻辑矩阵构成的一个集合, 记为
7) 矩阵A∈Rp × n, B∈Rq × n, A、B的Khatri-Rao积*定义为
|
本文首先介绍矩阵半张量积的性质及其在布尔网络中的具体应用, 然后分3个部分论述受限布尔网络: 1)说明常见受限布尔网络的类型与来源; 2)介绍受限布尔网络中的典型问题, 规范化问题与可解性问题; 3)总结受限布尔网络拓扑结构的现有结果.接着分4部分论述受限布尔控制网络: 1)说明常见受限布尔控制网络的类型与来源; 2)介绍分析受限布尔控制网络能控性的两类典型方法; 3)总结受限布尔控制网络控制信号设计方法; 4)简要说明受限布尔控制网络的其他研究方向; 最后给出结论.
1 预备知识本节主要介绍矩阵半张量积的一些基本性质及其在布尔网络中的应用, 更详细的内容与应用参见文献[42-44].
设矩阵M∈Rm × n, N∈Rp × q, M和N的半张量积定义为
|
(1) |
其中: t为n和p的最小公倍数, ⊗为矩阵的克罗内克积(Kronecker product)[42].
如果n=p, 则式(1)退化为一般的矩阵乘积, 所以说矩阵半张量积是普通矩阵乘积的推广.最为重要的一点是, 半张量积不但保留了传统矩阵乘积所有基本性质(如分配律、结合律等), 而且具有普通矩阵乘积没有的新性质.因此, 本文如无特殊说明, 默认的矩阵乘积是矩阵半张量积.
1) 分配律.设矩阵A, B∈Rm × n, C∈Rp × q, a, b∈ R, 则有
|
(2) |
2) 结合律.设A, B, C是任意有限维实矩阵, 有(A



3) 伪交换律.设列向量Z∈Rt× 1, 矩阵A∈Rm × n, 则ZA=(It⊗ A)Z.
4) 换位矩阵.设列向量X∈Rm× 1, Y∈Rn× 1, 有
|
(3) |
其中
|
(4) |
5) 降阶矩阵.设列向量X∈Δm, 有
|
(5) |
其中
|
(6) |
6) 哑矩阵.设列向量X∈Δm, Y∈Δn, 有
|
(7) |
其中Dfm, n, Drm, n为哑矩阵, 定义如下:
|
(8) |
下面介绍如何将布尔(控制)网络转化成与其等价的代数离散表示形式.设f(·): 

引理1[2] 对于布尔函数y=f(x1, x2, …, xn), 存在唯一结构矩阵

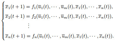
基于引理1, 将具有如下一般形式的布尔控制网络转化为其等价的代数形式:
|
(9) |
其中: fj(·)为m+n元布尔函数, xj(·)、ui(·)为布尔变量, i=1, 2, …, m, j=1, 2, …, n.由引理1可知, 对于任一fj(·), 存在
|
(10) |
其中: x(t)=

|
(11) |
其中L=M1* M2*… * 
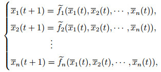
类似地, 可以将如下一般形式的布尔网络:
|
(12) |
转化为其等价的代数形式
|
(13) |
其中:结构矩阵


本节依次考虑具有n个节点的受限布尔网络的常见类型与来源, 规范化与可解性问题, 以及拓扑结构.
2.1 受限布尔网络类型目前, 现存文献中受限布尔网络大致可以分为两种类型:奇异布尔网络(Singular boolean networks)和隐布尔网络(Implicit boolean networks).奇异布尔网络被称为动态-静态布尔网络(Dynamic-algebraic Boolean networks), 其概念在2011年被提出[36-37].下面给出这两类网络的一般代数表示形式.
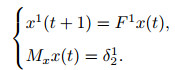
具有r<n个更新方程的奇异布尔网络为
|
(14) |
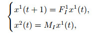
其中: x1(t+1)∈Δ2r, F1∈

一般形式的奇异布尔网络为
|
(15) |
其中E, 
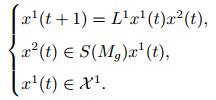
隐布尔网络为
|
(16) |
其中
奇异布尔网络的规范化是在研究逻辑函数的二分解(Bi-Decomposition)问题时, 作为一个应用提出的[36], 目的是将式(14)转化为不带约束的动态网络, 从而更加便于对原系统进行分析.针对这一问题, 不少研究者给出了自己的思路.
基于逻辑方程的隐函数定理[36], Mxx(t)=δ21可以等价地转化为显式形式x2(t)=MIx1(t), 其中
|
(17) |
其中FI1=F1(I2r⊗ MI)Φ(2r).
对于规范化问题, 文献[37]基于一般的奇异布尔网络(15)提出定义, 通过坐标变换先将式(15)转化到与(14)具有相同形式的系统, 再将该系统转化为式(17)的形式.
以上两种定义方式分别从不同层次的奇异布尔网络(14)和(15)入手, 最后得到的系统在形式上却是相同的.但是, 观察最终形式式(17)会发现, 在限制条件Mxx(t)=δ21下, 当x(·)有2r种取值方式且相应的x1(·)取遍Δ2r时, 式(14)或(15)才有转化为(17)的可能.
文献[48]从奇异布尔网络规范化的原始目的出发, 改进之前两种规范化的定义, 打破x1(·)定义域是Δ2r的限制, 将奇异布尔网络(14)改写成如下不带约束的显式形式:
|
(18) |
其中: 

为分析奇异布尔网络的状态轨迹, 可解性问题被提出[38].以一般形式的奇异布尔网络(15)为例, 可解性问题是指, 通过给定x(t)来确定x(t+1)的过程.
奇异布尔网络(14)解的存在性与唯一性[48].对于奇异布尔网络(14), 解的存在唯一性很自然地应该在状态容许集






一般形式奇异布尔网络(15)解的存在性与唯一性[38].对于任意给定的x(t)∈Δ2n, 式(15)有解x(t+1)的充要条件是Rank[E, F]=Rank[E].在有解的前提下, 解唯一的充要条件是如果

随着研究的深入, 发现可解性与规范化的关系并不是独立的概念, 二者有着密切的内在联系, 定理1给出二者关系.
定理1 奇异布尔网络(14)能够实现形如式(17)的规范化, 当且仅当对于任意容许状态x(t)∈
关于受限布尔网络的拓扑结构, 主要研究其吸引子(不动点和圈)和状态转移过程等问题.相比于普通的布尔网络, 受限布尔网络呈现出一些新的特点: 1)对于给定的(容许)初始状态, 有可能不存在状态, 使系统方程成立; 2)对于给定的(容许)初始状态, 可能存在多个状态都能满足系统方程.从系统轨迹的角度分析, 这两个特点说明, 受限布尔网络的状态轨迹有可能突然中断, 也有可能出现分叉的现象[40].针对受限布尔网络的新特点, 除了直接研究受限布尔网络, 一些学者提出了其他的研究角度, 如对于状态轨迹突然中断的情形, 可以对状态空间进行扩充[45, 49]; 对于分叉现象, 可以用不分叉的子网络进行近似估计[47].
对于吸引子, 文献[38, 47]提出了奇异布尔网络(15)的不动点和圈的概念.
定义1 1)状态x0∈Δ2n称为奇异布尔网络(15)的一个不动点, 若Ex0=Fx0.
2) {x0, x1, …, xl}⊆Δ2n称为式(15)的长度为l的圈, 若xl=x0, Exi+1=Fxi, i=0, 1, …, l-1, 且{x0, x1, …, xl-1}中元素两两互异.
文献[38]初步给出了圈的判定条件以及不动点个数的计算方法, 文献[47]构造了容许条件集, 基于这一集合可对式(15)的拓扑结构, 尤其是吸引子个数作一些估计.
下面分析受限布尔网络的状态转移过程.通过可解性可以对系统的状态转移有初步的了解, 但是这种方法不如状态转移矩阵刻画得详尽.文献[40]提出了一个求取式(15)状态转移矩阵(State transition matrix)的简便方法.
定理2 矩阵ETF是奇异布尔网络(15)的状态转移矩阵.
特别地, 该结论也可以应用到奇异布尔网络(14), 但有一个细节需要注意.对于式(14), 其更新规则和约束条件也可以归结到一个方程[38].然而, 式(14)的更新规则是t与t+1时刻的关系, 约束条件是对t时刻的限制, 因此在转化的过程中应当增加t+1时刻的限制[40, 46], Mxx(t+1)=δ21.由文献[47]提出的计算一般形式奇异布尔网络代数表示的方法, 可以得到奇异布尔网络(14)的另一种代数表示形式
|
(19) |
其中
|
通过代数表示(19)可以分析式(14)的状态转移过程, 其状态转移矩阵等于
另外, 文献[46]研究了奇异布尔网络(14)的函数摄动问题, 给出了在单点摄动的条件下式(14)的状态转移和吸引子的变化情况.
3 受限布尔控制网络本节将依次考虑具有n个节点m个输入的受限布尔控制网络的常见类型与来源, 分析能控性的两类方法, 设计能控、镇定、最优控制信号的算法, 以及其他的研究方向.
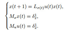
3.1 受限布尔控制网络类型给定受限布尔控制网络
|
(20) |
其中
|
据现有文献, 受限布尔控制网络(20)大致可以归结为如下形式:
1) 当r=n时, 如果存在矩阵
2) 当r=n时, 如果存在矩阵

3) 当r=n时, 若限制条件是关于x(·)、u(·)的一般函数, 则式(20)是文献[39]提出的具有依赖状态的输入限制集的布尔控制网络(Boolean control networks with state-dependent constraints).
4) 当r<n时, 式(20)是文献[35]建立的奇异布尔控制网络模型(Singular boolean control networks).更一般地, 奇异布尔控制网络具有如下代数表示形式[40, 47]:
|
(21) |
其中: 

一直以来, 布尔控制网络的能控性是理论研究的热点问题, 在受限的布尔网络中也不例外.就现有文献资料而言, 对于不同限制情形下的各种网络的能控性研究已有大量的结果.能控性是由外部输入调控系统状态的性能, 如果有限时间内, 在满足系统的限制条件下, 能够使某个初始状态通过外部输入的作用到达目标状态, 则称该目标状态由该初始状态能达.当系统的所有(容许)的初始状态都两两能达时, 称系统为能控的.对于受限布尔控制网络, 总结两种方法分析系统的能控性.
3.2.1 Dmitriy-Michael方法2012年, Laschov等[30]率先研究了带状态限制集的布尔控制网络, 通过剔除掉禁用的状态来研究该受限布尔网络的能控性.与分析具有相同状态和输入节点数目但不带状态限制集的布尔控制网络能控性的方法相比, 这种方法并没有使计算复杂度增加, 反而使之降低了.
定理3[30] 带状态限制集的布尔控制网络(20)是k步能控的, 当且仅当
|
(22) |
并且J=δ2n[i1, i2, …, iα]由集合{j|Colj(Mx)=δ21}:={i1, i2, …, iα}构造而来.
此后这种处理受限问题的方法被沿用, 文中结论也被推广到不同的受限布尔网络.例如:文献[50-53]将该方法分别推广到带状态限制集的概率布尔控制网络、带脉冲布尔控制网络、时滞布尔控制网络和奇异布尔控制网络.文献[34]将该方法推广到输入和状态双受限的切换布尔控制网络
|
(23) |
其中: σ(·):N→ {1, 2, …, ω}为切换信号, Lσ(t)∈

推论1 输入和状态双受限的布尔控制网络(20)是能控的, 当且仅当
|
(24) |
其中
|
(25) |
Dmitriy-Michael方法对处理仅状态受限的布尔控制网络以及输入和状态双受限的布尔控制网络是很有效的, 但是当状态限制和输入限制耦合在一起时, 这种方法就有些不便了.针对这种情况, 文献[39-49]提出了一种新的处理办法——预反馈方法.
通过引入新的控制变量v(t), 构造与限制条件Mxux(t)u(t)=δ21等价的预反馈, 形式如下:
|
(26) |
其中: U:=[U1, U2, …, U2n], Ui∈R2m× 2m, 满足
|
(27) |
并且
由此, 当n=r时, 受限布尔控制网络(20)可以等价地改写为
|
(28) |
在式(28)中, 将u(t)代入上述更新方程, 可以得到下面判断能控的结论.
定理4[39] 在具有依赖状态的输入限制集的布尔控制网络(20)中, 初始状态x0=δ2nj经k步到达目标状态xd=δ2ni, 当且仅当
|
(29) |
其中LU=L1UW[2n, 2m+n]Φ(2n)W[2m, 2n].
3.3 控制信号设计上一节主要总结分析了除奇异布尔控制网络之外的受限布尔控制网络的能控性, 但是这些方法更适合于理论分析, 适合作为先验条件用以判定受限布尔网络是否能控, 至于设计合适的控制器, 却要另寻它法.
控制信号设计是控制理论的重要组成部分, 很多控制问题的实现就在于设计控制信号, 如能控性、镇定问题、最优控制.根据控制目的的不同, 控制信号的设计方式也不尽相同, 但也不是全然无关, 镇定问题和最优控制的控制信号设计都与能控性密切相关.
在布尔控制网络中, 系统可以镇定到某一个状态, 当且仅当该状态(全局)能控, 而且是不动点[5, 54-55], 因此设计镇定控制信号的关键部分在于设计实现能控的控制信号.
另外, 对于具有如下收益函数的Mayer型最优控制:
|
(30) |
其中λ∈R2n× 1为非负矩阵, 如果N已知, 则从x0出发N步可达的所有状态中选出具有最小(最大)收益的状态, 然后设计控制信号, 使得x0在第N步到达该状态即可; 如果N是未知的待设计量, 则从x0可达的所有状态中选出具有最小(最大)收益的状态, 然后设计控制信号, 使得x0到达该状态, 到达时的步数便为N步[34].因此, 设计实现Mayer型最优控制信号的关键部分也在于设计实现能控的控制信号.
3.3.1 输入-状态关联矩阵法输入-状态矩阵法是文献[56]提出的一种分析布尔控制网络能控性, 设计控制信号的综合性方法.文献[35]推广了输入-状态关联矩阵法, 提出广义输入-状态关联矩阵(Generalized input-state incidence matrix)法以分析奇异布尔网络的能控性和相应的控制器设计.
文献[34]也改进了输入-状态关联矩阵方法, 构造受限关联矩阵(Constrained incidence matrix)以分析输入和状态双受限的切换布尔控制网络(23)的能控性.
3.3.2 Floyd算法在受限布尔控制网络中, 文献[57]率先研究了受限的最小能量控制(Constrained minimum energy control)问题, 即寻找控制序列u(·), 使得带状态限制集的布尔控制网络(20)由初始状态x(0)=x0在某个时刻s到达目标状态xd, 并使如下能量函数P(u)取值最小:
|
(31) |
其中QE为正定矩阵.
基于Floyd算法[58], 文献[57]提出了从

|
(32) |
|
(33) |
随后这种方法被推广到研究受限的切换布尔网络的最优无限时域控制(Constrained optimal infinite-horizon control)[59].
除了这两种算法外, 还有很多学者对受限布尔控制网络的控制信号设计进行了大量的探索, 比如, 对于输入和状态双受限的布尔控制网络(20), 文献[34, 60]通过矩阵J和
研究受限布尔(控制)网络, 除了前面提到的受限布尔网络的规范化问题、可解性问题、拓扑结构分析、受限布尔控制网络的能控性、可镇定性、各种指标下的最优控制以及相应的控制器设计, 在其他方面也产生了一些结果, 如文献[48]和[61]分别研究了输入和状态双受限的布尔控制网络和奇异布尔网络的牵引控制, 并给出了控制器设计方法; 文献[35]给出了奇异布尔控制网络(20)能观的一个充分条件; 文献[47]研究了受干扰奇异布尔控制网络的干扰解耦问题.
4 结论受限布尔网络是在原有布尔网络基础上所作的扩充, 使得这套理论体系更加完整与丰富, 截至目前, 仍有许多理论问题亟待解决.由于它产生于实际问题, 受限布尔网络的控制与分析是具有重大研究价值的, 不过现在只是曙光初现.本文是对受限布尔网络的进展作一个现阶段的梳理和总结, 为对半张量积理论或是布尔网络理论感兴趣的研究者提供一个思考的方向.
| [1] |
Kauffman S A. Metabolic stability and epigenesis in randomly constructed genetic nets[J]. J of Theoretical Biology, 1969, 22(3): 437-467. DOI:10.1016/0022-5193(69)90015-0 |
| [2] |
Cheng D Z, Qi H S. A linear representation of dynamics of Boolean networks[J]. IEEE Trans on Automatic Control, 2010, 55(10): 2251-2258. DOI:10.1109/TAC.2010.2043294 |
| [3] |
郭雷. 评"矩阵的半张量积:一个便捷的新工"[J]. 科学通报, 2011, 56(32): 2662-2663. (Guo L. Comments on " Semi-tensor product of matrices — A convenient new tool"[J]. Chinese Science Bulletin, 2011, 56(32): 2662-2663.) |
| [4] |
Zhao Y, Kim J, Filippone M. Aggregation algorithm towards large-scale Boolean network analysis[J]. IEEE Trans on Automatic Control, 2013, 58(8): 1976-1985. DOI:10.1109/TAC.2013.2251819 |
| [5] |
Li R, Yang M, Chu T G. State feedback stabilization for Boolean control networks[J]. IEEE Trans on Automatic Control, 2013, 58(7): 1853-1857. DOI:10.1109/TAC.2013.2238092 |
| [6] |
Li H T, Wang Y Z. Output feedback stabilization control design for Boolean control networks[J]. Automatica, 2013, 49(12): 3641-3645. DOI:10.1016/j.automatica.2013.09.023 |
| [7] |
Gao B, Li L, Peng H, et al. Principle for performing attractor transits with single control in Boolean networks[J]. Physical Review E Statistical Nonlinear & Soft Matter Physics, 2013, 88(6): 062706. |
| [8] |
Lu J Q, Zhong J, Huang C, et al. On pinning controllability of Boolean control networks[J]. IEEE Trans on Automatic Control, 2016, 61(6): 1658-1663. DOI:10.1109/TAC.2015.2478123 |
| [9] |
Guo P L, Wang Y Z, Li H T. Algebraic formulation and strategy optimization for a class of evolutionary networked games via semi-tensor product method[J]. Automatica, 2013, 49(11): 3384-3389. DOI:10.1016/j.automatica.2013.08.008 |
| [10] |
Cheng D Z. On finite potential games[J]. Automatica, 2014, 50(7): 1793-1801. DOI:10.1016/j.automatica.2014.05.005 |
| [11] |
Cheng D Z, He F H, Qi H S, et al. Modeling, analysis and control of networked evolutionary games[J]. IEEE Trans on Automatic Control, 2015, 60(9): 2402-2415. DOI:10.1109/TAC.2015.2404471 |
| [12] |
Zhao D W, Peng H P, Li L X, et al. Novel way to research nonlinear feedback shift register[J]. Science China Information Sciences, 2014, 57(9): 1-14. |
| [13] |
Zhong J H, Lin D D. A new linearization method for nonlinear feedback shift registers[J]. J of Computer & System Sciences, 2015, 81(4): 783-796. |
| [14] |
Liu Z B, Wang Y Z, Cheng D Z. Nonsingularity of feedback shift registers[J]. Automatica, 2015, 55(C): 247-253. |
| [15] |
Wang Y Z, Zhang C H, Liu Z B. A matrix approach to graph maximum stable set and coloring problems with application to multi-agent systems[J]. Automatica, 2012, 48(7): 1227-1236. DOI:10.1016/j.automatica.2012.03.024 |
| [16] |
Li R, Chu T. Complete synchronization of Boolean networks[J]. IEEE Trans on Neural Networks & Learning Systems, 2012, 23(5): 840-846. |
| [17] |
Xu X R, Hong Y G. Matrix expression and reachability analysis of finite automata[J]. J of Control Theory & Applications, 2012, 10(2): 210-215. |
| [18] |
Xu X R, Hong Y G. Observability analysis and observer design for finite automata via matrix approach[J]. IET Control Theory & Applications, 2013, 7(12): 1609-1615. |
| [19] |
Yan Y Y, Chen Z Q, Liu Z X. Semi-tensor product approach to controllability and stabilizability of finite automata[J]. J of Systems Engineering and Electronics, 2015, 26(1): 134-141. DOI:10.1109/JSEE.2015.00018 |
| [20] |
Zhang K Z, Zhang L J. Observability of Boolean control networks: A unified approach based on finite automata[J]. IEEE Trans on Automatic Control, 2016, 61(9): 2733-2738. DOI:10.1109/TAC.2015.2501365 |
| [21] |
Wang B, Feng J E, Meng M. Matrix approach to model matching of composite asynchronous sequential machines[J]. IET Control Theory & Applications, 2017, 11(13): 2122-2130. |
| [22] |
Li H T, Wang Y Z. Boolean derivative calculation with application to fault detection of combinational circuits via the semi-tensor product method[J]. Automatica, 2012, 48(4): 688-693. DOI:10.1016/j.automatica.2012.01.021 |
| [23] |
欧阳城添, 江建慧. 基于概率转移矩阵的时序电路可靠度估计方法[J]. 电子学报, 2013, 41(1): 171-177. (Ouyang C T, Jiang J H. Relability estimation of sequential circuit based on probabilistic transfer matrices[J]. Acta Electronica Sinica, 2013, 41(1): 171-177.) |
| [24] |
陈宜滨, 席宁, 缪磊, 等. 半张量积理论在网络遥操作系统中的应用[J]. 机器人, 2012, 34(1): 50-55. (Chen Y B, Xi N, Miao L, et al. Applications of the semi-tensor product to the Internet-based tele-operation systems[J]. Robot, 2012, 34(1): 50-55.) |
| [25] |
Liu X H, Yong X U. An inquiry method of transit network based on semi-tensor product[J]. Complex Systems & Complexity Science, 2013, 10(1): 38-44. |
| [26] |
Wu Y H, Shen T S. A logical dynamical systems approach to modeling and control of residual gas fraction in IC engines[J]. IFAC Proc Volumes, 2013, 46(21): 495-500. DOI:10.3182/20130904-4-JP-2042.00155 |
| [27] |
Wu Y H, Shen T L. Policy iteration approach to control residual gas fraction in ic engines under the framework of stochastic logical dynamics[J]. IEEE Trans on Control Systems Technology, 2016, 25(3): 1100-1107. |
| [28] |
Kabir M H, Hoque M R, Koo B J, et al. Mathematical modelling of a context-aware system based on Boolean control networks for smart home[C]. The 18th IEEE International Symposium on Consumer Electronics. JeJu Island: IEEE, 2014: 1-2.
|
| [29] |
Li H T, Zhao G D, Meng M, et al. A survey on applications of semi-tensor product method in engineering[J]. Science China Information Sciences, 2018, 61(1): 010202. DOI:10.1007/s11432-017-9238-1 |
| [30] |
Laschov D, Margaliot M. Controllability of Boolean control networks via the Perron-Frobenius theory[J]. Automatica, 2012, 48(6): 1218-1223. DOI:10.1016/j.automatica.2012.03.022 |
| [31] |
Xiao Y F, Dougherty E R. The impact of function perturbations in Boolean networks[J]. Bioinformatics, 2007, 23(10): 1265-1273. DOI:10.1093/bioinformatics/btm093 |
| [32] |
Pal R, Datta A, Dougherty E R. Optimal infinite-horizon control for probabilistic Boolean networks[J]. IEEE Trans on Signal Processing, 2006, 54(6): 2375-2387. DOI:10.1109/TSP.2006.873740 |
| [33] |
Liu Q, Guo X, Zhou T. Optimal control for probabilistic Boolean networks[J]. IET Systems Biology, 2010, 4(2): 99-107. DOI:10.1049/iet-syb.2009.0006 |
| [34] |
Li H T, Wang Y Z. Controllability analysis and control design for switched Boolean networks with state and input constraints[J]. Siam J on Control & Optimization, 2015, 53(5): 2955-2979. |
| [35] |
Meng M, Li B Y, Feng J E. Controllability and observability of singular Boolean control networks[J]. Circuits, Systems, and Signal Processing, 2015, 34(4): 1233-1248. DOI:10.1007/s00034-014-9900-8 |
| [36] |
Cheng D Z, Xu X R. Bi-decomposition of multi-valued logical functions and its applications[J]. Automatica, 2013, 49(7): 1979-1985. DOI:10.1016/j.automatica.2013.03.013 |
| [37] |
Cheng D Z, Zhao Y, Xu X R. Mix-valued logic and its applications[J]. J of Shandong University, 2011, 46(10): 32-44. |
| [38] |
Feng J E, Yao J, Cui P. Singular Boolean networks: semi-tensor product approach[J]. Science China Information Sciences, 2013, 56(11): 1-14. |
| [39] |
Guo Y Q. Controllability of Boolean control networks with state-dependent constraints[J]. Science China Information Sciences, 2016, 59(3): 32202:1-32202:14. |
| [40] |
Yu Y Y, Feng J E, Meng M, et al. Topological structure of implicit Boolean networks[J]. IET Control Theory & Applications, 2017, 11(13): 2058-2064. |
| [41] |
Dai L Y. Singular control systems[M]. Berlin: Springer-Verlag, 1989, 1-301.
|
| [42] |
Cheng D Z, Qi H S, Li Z Q. Analysis and control of Boolean networks: A semi-tensor product approach[M]. London: Springer, 2010, 1-101.
|
| [43] |
Cheng D Z, Qi H S. Semi-tensor product of matrices-theory and applications[M]. Beijing: Science Press, 2007, 1-303.
|
| [44] |
Cheng D Z, Qi H S, Zhao Y. An introduction to semi-tensor product of matrices and its applications[M]. Singapore: World Scientific, 2012, 1-50.
|
| [45] |
Yu Y Y, Feng J E, Wang S. Explicit formula of logical algebraic equations and singular Boolean networks with probability[C]. The 35th Chinese Control Conf(CCC). Chengdu: IEEE, 2016: 1192-1197.
|
| [46] |
Liu Y, Li B W, Chen H W, et al. Function perturbations on singular Boolean networks[J]. Automatica, 2017, 84(C): 36-42. |
| [47] |
Meng M, Feng J E. Topological structure and the disturbance decoupling problem of singular Boolean networks[J]. IET Control Theory & Applications, 2014, 8(13): 1247-1255. |
| [48] |
Liu Y, Cao J D, Li B W, et al. Normalization and solvability of dynamic-algebraic Boolean networks[J]. IEEE Trans on Neural Networks & Learning Systems, 2017. DOI:10.1109/tnnls.2017.2715060 |
| [49] |
Gui N, Guo Y Q. Stabilisation of Boolean control networks with state-dependent constraints via space extension and pre-feedback[J]. IET Control Theory & Applications, 2017, 11(13): 2072-2080. |
| [50] |
Liu Y, Chen H W, Wu B. Controllability of Boolean control networks with impulsive effects and forbidden states[J]. Mathematical Methods in the Applied Sciences, 2014, 37(1): 1-9. DOI:10.1002/mma.v37.1 |
| [51] |
Liu Y, Chen H W, Lu J Q, et al. Controllability of probabilistic Boolean control networks based on transition probability matrices[J]. Automatica, 2015, 52(C): 340-345. |
| [52] |
Lu J Q, Zhong J, Daniel W, et al. On controllability of delayed Boolean control networks[J]. Siam J on Control & Optimization, 2016, 54(2): 475-494. |
| [53] |
Li B W, Lou J G, Shi W P, et al. Controllability of dynamic-algebraic Boolean networks based on a new normalisation approach[J]. IET Control Theory & Applications, 2017, 11(13): 2104-2109. |
| [54] |
Cheng D Z, Qi H S, Li Z Q, et al. Stability and stabilization of Boolean networks[J]. Int J of Robust and Nonlinear Control, 2011, 21(2): 134-156. DOI:10.1002/rnc.v21.2 |
| [55] |
Fornasini E, Valcher M E. On the periodic trajectories of Boolean control networks[J]. Automatica, 2013, 49(5): 1506-1509. DOI:10.1016/j.automatica.2013.02.027 |
| [56] |
Zhao Y, Qi H S, Cheng D Z. Input-state incidence matrix of Boolean control networks and its applications[J]. Systems & Control Letters, 2010, 59(12): 767-774. |
| [57] |
Li F F, Lu X W. Minimum energy control and optimal-satisfactory control of Boolean control network[J]. Physics Letters A, 2013, 377(43): 3112-3118. DOI:10.1016/j.physleta.2013.10.002 |
| [58] |
Cormen T H. Introduction to algorithms[M]. Cambridge: MIT Press, 2009, 550-557.
|
| [59] |
Li F F, Lu X W, Yu Z X. Optimal control algorithms for switched Boolean network[J]. J of the Franklin Institute, 2014, 351(6): 3490-3501. DOI:10.1016/j.jfranklin.2014.03.008 |
| [60] |
Li H T, Wang Y Z. Minimu-time state feedback stabilization of constrained Boolean control networks[J]. Asian J of Control, 2016, 18(5): 1688-1697. DOI:10.1002/asjc.1234 |
| [61] |
Yang Q Q, Li H T, Liu Y S. Pinning control design for feedback stabilization of constrained Boolean control networks[J]. Advances in Difference Equations, 2016(1): 1-16. |
2018, Vol. 33
