2. 鞍钢集团北京研究院有限公司,北京 102200
2. Beijing Research Institute of Ansteel Co. Ltd., Beijing 102200, China
随着现代工业过程生产规模的扩大及复杂性的增加, 对于可靠性的要求越来越高, 下游用户对中间产品的尺寸、效能等质量指标提出了越来越高的要求.因此, 迫切需要故障诊断与容错控制等相关技术的发展, 以保障最大限度发挥流程运行潜力, 抑制产品质量下降.作为故障诊断领域的关键核心问题, 质量相关故障检测技术是保障工业过程安全运行和质量稳定的重要手段, 是当前流程工业过程控制领域的研究热点[1-3].
由于工业过程机理复杂、热工参数繁多、运行工况频变、不确定与耦合性强等原因, 传统的基于解析模型的故障检测方法很难适应实际工业过程的复杂程度.随着传感器与数据存储等技术的迅速发展, 工业过程全流程产生并存储了大量的生产与监测数据.这些数据中蕴含的巨大价值得到了学术界和工业界的广泛关注, 也推动了基于数据的质量相关故障检测方法的研究与应用实践[4-5].
为了构建工业过程中易测量的过程变量与难以测量的质量变量间的相关关系, 国内外的研究学者做了大量研究工作.从已取得的研究成果看, 偏最小二乘(partial least squares, PLS)及其扩展模型的质量相关故障检测技术是最常用的方法[6-9].然而, 上述基于PLS的方法中含有复杂的奇异值分解, 当数据量较大时, 计算复杂度较高. 相比之下, 基于典型变量分析(canonical variable analysis, CVA)的建模方法只需要一步奇异值分解, 计算量相对较小, 更适用于动态和非线性较强的工业过程故障检测[10-13]. CVA及核CVA (kernel CVA, KCVA)方法一定程度上考虑了工业过程数据的自相关和互相关特性, 提升了故障检测的性能. 然而, 在实际应用中, 上述方法利用Pearson相关系数获取过程与质量变量间的相关性, 难以充分地反映变量间的相关程度. 同时, KCVA方法是基于单一核函数将原始变量的低维空间映射到高维空间, 难以兼顾良好的学习与泛化能力, 影响建模的准确性[14-15]. 更为重要的是, 上述方法中的大多监测统计量很少考虑故障的均值变化方向, 影响了时变的质量相关故障检测效果.
基于以上分析, 本文在传统KCVA方法的基础上, 充分考虑工业过程的非线性与动态特性及其质量相关故障的时变特性, 将互信息、混合核函数、遗传算法、自适应监测等方法有效结合, 构建统计模型, 提出基于AMKCVA的工业过程质量相关故障检测方法, 以提升故障检测性能, 为现场工程师及时了解过程运行状态提供重要参考依据.
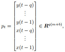
1 基于KCVA的质量相关故障检测假设对某工业过程的过程变量x=[x1, x2, …, xm]T和质量变量y=[y1, y2, …, yb]T进行N次采样, 取任意时刻t为当前时刻, 定义过去的信息向量为
|
(1) |
定义现在和未来的信息向量为
|
(2) |
其中q为延迟时间数.
定义Hankel矩阵为
|
(3) |
|
(4) |
其中: 

KCVA法的目的是通过非线性映射函数ϕ(·)将非线性变量空间投影到高维线性特征空间




|
(5) |
|
(6) |
其中: K为核函数, Kp和Kf为中心化的半正定核矩阵, 两者之间的相关性可计算为
|
(7) |
其中: J∈RN× N和L∈RN× N为变换矩阵, 满足JΣKpKpJT=Im和LΣKfKfLT=In, m=rank(ΣKpKp), n=rank(ΣKfKf), Σ为协方差矩阵.
在上述建模方法的基础上, 假设a为最大相关阶次, 其对应的空间为质量相关子空间, 通过设计合理的监测统计量和控制限, 实现质量相关故障检测.
质量相关子空间的监测统计量可以表示为
|
(8) |
其中Ja为通过上述方法计算出的J的前a行.
在t=t'时刻, T2是个标量.当过程数据服从正态分布时, 其相应的控制限可通过下式计算:
|
(9) |
其中: α是显著度, Fα(a, N-a)是自由度为a和N-a的F分布.
2 基于AMKCVA的质量相关故障检测在实际应用中, 核函数可以分为局部核函数和全局核函数, 其中前者在训练样本所在的数据空间区域内具有较强的学习与插值能力, 而后者在数据空间区域外具有较强的外推与预测能力. 上述基于单一核函数的KCVA方法难以兼顾良好的学习与泛化能力, 无法充分地挖掘变量间的动态非线性关系, 影响质量相关故障检测模型构建的效果. 为了解决这个问题, 本文将局部核函数和全局核函数有效结合, 实现混合核函数的构建.
根据Mercer定理, 所构建的局部核和全局核函数凸组合表示为
|
(10) |
其中ω∈[0, 1]为混合核函数的权系数.
全局核函数Kglobal采用多项式核函数, 有
|
(11) |
其中b为该多项式核函数的阶次.
局部核函数Klocal采用径向基核函数, 有
|
(12) |
其中σ为该径向基核函数的参数.
在所构建的混合核函数中, 有3个核参数需要确定, 分别为ω、b和σ. 本文利用遗传算法[16]确定上述参数, 并兼顾故障检测率(fault detection rate, FDR)
|
(13) |
和误报警率(false alarm rate, FAR)
|
(14) |
其中: Nea和Nfa分别为有效报警和错误报警数目, Ntf为故障样本的总数[6]. 当上述参数确定后, 通过混合核函数将非线性变量空间投影到高维线性特征空间, 进行相关性分析.
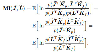
为了更完整地刻画非线性动态过程变量间的自相关性和互相关性, 并定量地反映变量间的相关程度, 利用互信息(mutual information, MI)取代上述KCVA方法中的Pearson相关系数, 可表示为
|
(15) |
其中: E[·]为数学期望, p(·)为边缘概率, p(·, ·)为联合概率, p(·|·)为条件概率.
式(15)通过分析p(·, ·)与p(·)之间的相似性来衡量非线性动态热轧过程变量间的相互依赖程度.如果




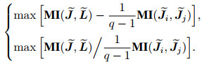
AMKCVA法的目的是获取

|
(16) |
和互信息商(mutual information quotient, MIQ)算子
|
(17) |
其中: 



最大相关阶次q可通过如下方式进行搜索[17]:
|
(18) |
考虑质量相关故障的时变特性, 对于测试数据xn, 其白化向量可表示为
|
(19) |
其中: MIn∈Rq且满足MInMInT=I, Q为其对应的特征向量矩阵, Λ为对角矩阵.
假设xd为第d时刻的突变或扰动, 满足如下的统计假设:
|
(20) |
其中μ为均值.
利用如下的似然率测试检验上述统计假设的有效性:
|
(21) |
则在线自适应监测统计量可通过下式得到:
|
(22) |
其控制限可通过核密度估计[18]方法得到.
考虑到非线性动态过程均值是时变的, 所以突变或扰动xd可通过下式递归更新:
|
(23) |
其中0≤γ≤1为多元指数加权移动平均平滑参数.
可以看出, 若γ=1, 则xd=MIn, AT2退化为传统的故障检测方法; 若γ=0, 则xd=xd-1=…=x0, AT2转化为具有方向、时变的自适应监测统计量, 适应质量相关故障的时变特性.
综上, 利用上述所提出的AMKCVA方法, 可以实现工业过程质量相关故障检测, 其流程如图 1所示.主要包括以下步骤:
|
图 1 基于AMKCVA的质量相关故障检测流程 |
1) 离线训练.
step 1: 选取正常建模数据, 并将数据标准化处理;
step 2: 选取合适的延迟时间数q, 根据式(3)和(4)构建Hankel矩阵;
step 3: 对混合核函数赋初值并中心化处理;
step 4: 根据式(15)分析变量间的相关程度, 利用式(18)获取最大相关阶次q;
step 5: 根据式(9)计算控制限.
2) 在线检测.
step 1: 对在线数据标准化处理, 根据式(19)计算白化向量;
step 2: 计算对应混合核矩阵和白化向量;
step 3: 根据式(22)计算自适应监测统计量, 并与离线建模中的控制限对比, 判断是否有质量相关故障发生.
3 实验验证为了验证以上方法在非线性动态过程质量相关故障检测应用上的有效性, 本文利用热轧过程现场数据对比进行仿真验证.
3.1 实验方案热轧过程是高信息化和自动化集成的工业生产过程.随着现代工业的发展, 市场竞争越来越激烈, 下游用户对轧制产品的尺寸、性能、表面、板形等指标提出了越来越高的质量要求, 其质量好坏对下游工序的产品质量和生产顺行有着很大的影响.因此, 如何通过质量相关故障检测技术, 实现产品质量的稳定控制, 是当下亟需解决的重点问题[13-14, 19].
热轧全流程由加热、粗轧、飞剪、精轧、层流冷却等众多生产工序构成, 如图 2所示.其中, 精轧机组是热轧全流程的核心部分, 其装备和控制水平对轧制产品的质量起着决定作用.基于此, 本文以精轧机组为主要研究对象来验证所提出方法的有效性和实用性.一般情况下, 该机组由7台机架组成, 每台机架由一对支撑辊、一对工作辊和相应的液压压下装置构成.在该机组出口处一般装有测厚仪等仪表及传感器, 记录并存储了大量的现场数据, 为本文所提出方法的应用验证提供了大量的信息资源.
|
图 2 热轧过程及精轧机组工艺布置 |
本文所采用的过程及质量变量分配情况如表 1所示.为了比较不同模型对热轧过程质量相关故障检测的性能, 利用基于多项式核函数的KCVA方法、基于径向基核函数的KCVA方法和所提出的AMKCVA方法对同批数据进行建模, 并计算相应的统计量和控制限.在仿真过程中, 采用正常工况下的3 000个样本进行建模, 置信度设置为95 %, 采样周期为10 ms.
| 表 1 过程及质量变量分配表 |
考虑的故障为冷却水控制阀的执行器发生故障, 此故障会影响后面机架的弯辊力和轧制力, 从而影响末机架的出口厚度.
首先, 根据测试数据, 利用遗传算法, 以良好的FDR和FAR作为优化目标对参数进行优化, 优化结果如表 2和表 3所示.通过表 2和表 3可知, 当b=2, σ=1 000时, 能够兼顾良好的FDR和FAR.同时, 由于多项式核函数方法的FDR高于径向基核函数方法, 使ω=0.65.
| 表 2 基于多项式核函数方法的故障1参数优化结果 |
| 表 3 基于径向基核函数方法的故障1参数优化结果 |
然后, 利用上述3种方法对该故障进行检测.根据实际情况, 前两种方法的控制限由文献[8]和文献[14]确定. 图 3 ~ 图 5为基于3种方法的故障1检测结果. 可以看出, 3种方法在第1 000个采样处均能实时地检测出该故障, 但是基于多项式核函数和Pearson相关系数的KCVA方法出现了明显的故障误报现象, 而AMKCVA方法能够清晰地呈现生产过程的异常工况, 且检测性能良好. FDR和FAR对比情况如表 4所示.
|
图 3 基于多项式核函数KCVA的质量相关故障1检测结果 |
|
图 4 基于径向基核函数KCVA的质量相关故障1检测结果 |
|
图 5 基于AMKCVA的质量相关故障1检测结果 |
| 表 4 FDR和FAR对比情况 |
考虑的故障为液压压下辊缝控制系统失效故障, 此故障会影响相应机架的辊缝采样值和总轧制力, 从而影响末机架的出口厚度.
首先, 利用遗传算法并兼顾良好的FDR和FAR, 使用基于两种核函数的方法进行实验仿真, 结果如表 5和表 6所示. 仿真发现, 当b=3, σ=950时, FDR最高, FAR最低. 同时, 由于径向基核函数方法的FDR高于多项式核函数方法, 且FAR低于后者, 故使ω=0.4.
| 表 5 基于多项式核函数方法的故障2参数优化结果 |
| 表 6 基于径向基核函数方法的故障2参数优化结果 |
然后, 利用上述3种方法对该质量相关故障进行检测. 图 6 ~ 图 8为基于3种方法的故障2检测结果. 可以看出, 基于多项式核函数和Pearson相关系数的KCVA方法无法检测出该质量相关故障的发生, 出现了较低的FDR和较高的FAR. 即便另外两种方法在第1 000个采样处能够准确地检测出热轧过程的异常波动, 但基于径向基核函数的KCVA方法无法兼顾良好的FAR和FDR. FDR和FAR的对比情况如表 4所示.
|
图 6 基于多项式核函数KCVA的质量相关故障2检测结果 |
|
图 7 基于径向基核函数KCVA的质量相关故障2检测结果 |
|
图 8 基于AMKCVA的质量相关故障2检测结果 |
本文面向热轧过程的非线性与动态特性及其质量相关故障的时变与未知特性, 在传统KCVA方法的基础上, 将互信息、混合核函数、遗传算法、自适应监测等方法有效结合, 提出了基于AMKCVA的质量相关故障检测方法, 并利用热轧过程精轧机组过程控制层的历史及实时数据, 验证了所提方法的有效性. 仿真研究表明, 与单一核函数方法相比, 本文所提出的方案能够实时地检测精轧机组质量相关故障, 为现场工程师提供了重要的参考依据, 具有广阔的工程应用前景.
本文只利用了热轧过程实时控制层的过程和质量数据, 未来将引入系统的过程控制层、制造执行层等其他层级信息, 构建更为精确的质量相关故障检测框架.
| [1] |
彭开香, 马亮, 张凯. 复杂工业过程质量相关的故障检测与诊断技术综述[J]. 自动化学报, 2017, 43(3): 349-365. (Peng K X, Ma L, Zhang K. Review of quality-related fault detection and diagnosis techniques for complex industrial processes[J]. Acta Automatica Sinica, 2017, 43(3): 349-365.) |
| [2] |
刘潭, 袁青云, 王福利, 等. 基于工序指标耦合关系分解的选冶全流程分层优化方法[J]. 控制与决策, 2018, 33(3): 413-421. (Liu T, Yuan Q Y, Wang F L, et al. Plant-wide hierarchical optimization method based on decomposition of coupling relationship between technical indices for mineral and metallurgical processes[J]. Control and Decision, 2018, 33(3): 413-421.) |
| [3] |
桂卫华, 阳春华, 陈晓方, 等. 有色冶金过程建模与优化的若干问题及挑战[J]. 自动化学报, 2013, 39(3): 197-207. (Gui W H, Yang C H, Chen X F, et al. Modeling and optimization problems and challenges arising in nonferrous metallurgical processes[J]. Acta Automatica Sinica, 2013, 39(3): 197-207.) |
| [4] |
刘强, 卓洁, 郎自强, 等. 数据驱动的工业过程运行监控与自优化研究展望[J]. 自动化学报, 2018, 44(11): 1944-1956. (Liu Q, Zhuo J, Lang Z Q, et al. Perspectives on data-driven operation monitoring and self-optimization of industrial processes[J]. Acta Automatica Sinica, 2018, 44(11): 1944-1956.) |
| [5] |
Jiang Y C, Yin S. Recent advances in key-performance-indicator oriented prognosis and diagnosis with a MATLAB toolbox: DB-KIT[J]. IEEE Transactions on Industrial Informatics, 2019, 15(5): 2849-2858. DOI:10.1109/TII.2018.2875067 |
| [6] |
Zhou D H, Li G, Qin S J. Total projection to latent structures for process monitoring[J]. AIChE Journal, 2010, 56(1): 168-178. |
| [7] |
Qin S J, Zheng Y Y. Quality-relevant and process-relevant fault monitoring with concurrent projection to latent structures[J]. AIChE Journal, 2013, 59(2): 496-504. DOI:10.1002/aic.13959 |
| [8] |
Jia Q L, Zhang Y W. Quality-related fault detection approach based on dynamic kernel partial least squares[J]. Chemical Engineering Research and Design, 2016, 106: 242-252. DOI:10.1016/j.cherd.2015.12.015 |
| [9] |
孔祥玉, 罗家宇, 张琪, 等. 基于正交信号修正与高效偏最小二乘的质量相关故障检测方法[J]. 控制与决策, 2020, 35(5): 1167-1174. (Kong X Y, Luo J Y, Zhang Q, et al. Quality-related fault detection method based on orthogonal signal correction and efficient PLS[J]. Control and Decision, 2020, 35(5): 1167-1174.) |
| [10] |
Odiowei P E P, Cao Y. Nonlinear dynamic process monitoring using canonical variate analysis and kernel density estimations[J]. IEEE Transactions on Industrial Informatics, 2010, 6(1): 36-45. DOI:10.1109/TII.2009.2032654 |
| [11] |
Jiang B B, Huang D X, Zhu X X, et al. Canonical variate analysis-based contributions for fault identification[J]. Journal of Process Control, 2015, 26: 17-25. DOI:10.1016/j.jprocont.2014.12.001 |
| [12] |
Chen Z W, Ding S X, Zhang K, et al. Canonical correlation analysis-based fault detection methods with application to alumina evaporation process[J]. Control Engineering Practice, 2016, 46: 51-58. DOI:10.1016/j.conengprac.2015.10.006 |
| [13] |
Ma L, Dong J, Peng K X, et al. A novel data-based quality-related fault diagnosis scheme for fault detection and root cause diagnosis with application to hot strip mill process[J]. Control Engineering Practice, 2017, 67: 43-51. DOI:10.1016/j.conengprac.2017.07.005 |
| [14] |
Ma L, Dong J, Peng K X. A novel hierarchical detection and isolation framework for quality-related multiple faults in large-scale processes[J]. IEEE Transactions on Industrial Electronics, 2020, 67(2): 1316-1327. DOI:10.1109/TIE.2019.2898576 |
| [15] |
Pilario K E S, Cao Y, Shafiee M. Mixed kernel canonical variate dissimilarity analysis for incipient fault monitoring in nonlinear dynamic processes[J]. Computers & Chemical Engineering, 2019, 123: 143-154. |
| [16] |
Jia M X, Xu H Y, Liu X F, et al. The optimization of the kind and parameters of kernel function in KPCA for process monitoring[J]. Computers & Chemical Engineering, 2012, 46(15): 94-104. |
| [17] |
Mandal M, Mukhopadhyay A. An improved minimum redundancy maximum relevance approach for feature selection in gene expression data[J]. Procedia Technology, 2013, 10(1): 20-27. |
| [18] |
Zhang Y W, Qin S J. Fault detection of nonlinear processes using multiwaykernel independent component analysis[J]. Industrial & Engineering Chemistry Research, 2007, 46(23): 7780-7787. |
| [19] |
Ma L, Dong J, Peng K X. A novel robust semisupervised classification framework for quality-related coupling faults in manufacturing industries[J]. IEEE Transactions on Industrial Informatics, 2020, 16(5): 2946-2955. DOI:10.1109/TII.2019.2901931 |
2021, Vol. 36
