固定翼无人机集群系统在灾难响应、安防巡逻、目标追踪、环境保护等许多军民领域具有重要的应用价值[1]. 编队飞行是无人机集群最典型的协同场景, 也是其执行各类复杂任务的行为基础. 在集群编队飞行的过程中, 各无人机需要按照期望的相对位置、距离或方位等形成一定的队形, 并根据任务需求保持队形或进行队形调整.
不同于旋翼无人机其运动模型可用一阶或二阶积分器表示[3], 固定翼无人机是典型的具有非完整性约束的非线性运动体, 且存在最大/最小空速以及最大航向角速率等限制, 其编队控制问题更具有挑战性[3]. 文献[4-6]研究了固定翼无人机协同路径跟随控制问题. 文献[7]基于“长-僚机”框架的跟随领航者法, 为僚机设计了跟随长机的控制律, 实现了两架固定翼无人机的编队飞行, 在飞行过程中, 长机沿着期望航线飞行, 僚机按照设计的控制律与长机形成一定的空间构型. 文献[8]在“长-僚机”框架的基础上引入“虚拟长机”的概念, 将各真实无人机作为虚拟长机的僚机, 并在虚拟长机的轨迹对各无人机已知的情形下, 实现了3架固定翼无人机的编队飞行. 在上述研究中, 无人机集群的规模都比较小, 且许多文献未考虑固定翼无人机的控制约束或未讨论控制约束下的稳定性. 此外, 固定翼无人机集群多在室外使用, 不可避免会受到风的作用, 文献[9-10]在处理单无人机路径跟随控制问题时, 将风扰下的无人机运动模型简化为以地速和期望航迹角为控制输入的独轮车模型, 从而不再单独处理风扰影响; 文献[5]将风扰项纳入到航向角速率的路径跟随控制律中, 并将其结果拓展到具有链状通信拓扑的多无人机协同跟随同一条移动路径的情形. 总体而言, 目前对于风扰下的单无人机飞行控制研究较多, 但对于风扰下的无人机编队控制研究相对较少.
随着无人机集群技术的发展, 各类研究中所使用的集群规模日益增大. 对于旋翼无人机集群, 美国宾夕法尼亚大学的GRASP实验室采用分组思想, 并通过组内集中式控制、组间分布式协同的方式完成了20架四旋翼无人机的编队飞行[11];美国的英特尔, 中国的亿航、高巨创新等公司目前都已完成规模超过1 000架的旋翼机飞行表演, 但这些无人机已预设好运动轨迹, 在表演时采用轨迹跟踪或集中式控制的方式[2]. 在固定翼无人机集群方面, 美国海军研究生院采用跟随领航者法, 验证了20架固定翼无人机的集群协同行为[12];此外, 中美两国都开展了规模在100架以上的固定翼无人机集群飞行实验, 但这些实验公开的集群协同的具体资料很少, 从发布的视频看, 其编队飞行的精度有限[1]. 一般而言, 数量规模的增大会导致协同难度的指数上升, 在系统性能(如收敛性和稳定性等)方面存在天花板效应[1]. 以传统的跟随领航者法为例, 处理大规模集群时, 若集群的层级过多, 由于误差逐层累积, 会使最底层的跟随者与最顶层的全局领航者的协同误差较大[13];若减小集群的层级, 则会导致集群内较多的个体跟随同一个领航者, 意味着领航者需要与距离自己较远的跟随者通信, 或远处的跟随者需要准确地感知领航者的相对位置等信息, 故而对无人机的通信或感知能力提出较高要求. 当存在通信时延、丢包或感知不准确时, 同样会导致协同误差较大. 从文献[12]的20机编队飞行结果来看, 无人机的平均位置误差超过40 m, 明显不及文献[7]的两机编队飞行效果.
针对固定翼无人机集群的规模限制、控制约束、风扰影响等挑战, 本文研究了面向大规模固定翼无人机集群的编队控制方法. 首先, 针对固定翼无人机集群的规模限制, 提出分层分组控制方案, 实现大规模集群的分布式编队控制; 然后, 综合考虑固定翼无人机的最大/最小速度以及最大航向角速率的限制, 设计满足固定翼无人机控制约束的编队控制律; 最后, 设计有风条件下长/僚机的编队控制律, 实现风扰下的稳定编队, 通过面向固定翼无人机集群实际应用的100架规模全流程数值仿真, 验证所提出的编队控制方法的有效性.
1 面向大规模集群的分层分组控制方案本节针对大规模集群的编队控制问题, 提出分层分组的控制方案, 并基于该控制方案, 建立相应控制问题的数学模型.
1.1 控制方案设计本文面向大规模固定翼无人机集群的编队控制, 提出分层分组的集群控制方案, 将所有无人机分成若干个独立且不相交的群组, 并在各群组内形成“长机层”和“僚机层”的集群双层控制架构. 每个群组内只有一架长机, 对组内其他无人机起引导作用; 群组内除长机之外的无人机均作为僚机, 接收长机的指令, 并采用通信或感知的方式获取长机的状态以跟随长机. 该分层分组控制架构如图 1所示.
|
图 1 无人机集群分层分组控制架构 |
基于该控制架构, 在长机层, 各长机组成通信网络, 每个长机与其邻居通信, 且相互之间形成特定的期望队形; 在僚机层, 组内各僚机跟随其长机, 并保持相对于长机的期望位置、距离或方位, 从而使同一组内的所有无人机形成特定的期望队形. 由此, 为实现整个无人机集群的编队控制, 可分别设计长机层和僚机层的编队控制律, 实现长机层各长机的协同以及僚机层各僚机相对于其长机的协同.
为实现长机层的协同, 本文为每一架长机规划一条航线, 并使各长机在沿其航线飞行的过程中, 满足一定的协同关系. 在协同控制领域, 将此称为对长机的“协同路径跟随控制”[4-6]. 与轨迹跟踪控制[14-15]不同, 在路径跟随控制问题中, 无人机跟随的期望路径不含有时间参数信息[10, 16], 因此路径较之轨迹的形式化表达更加方便灵活; 此外, 相关研究表明, 对于小型固定翼无人机而言, 路径跟随控制比轨迹跟踪控制更有效[4, 9]. 在协同路径跟随控制问题中, 除了使每一架无人机实现路径跟随外, 各无人机还需要满足一定的协同关系, 例如: 使各无人机同步到达各自终点以形成队形[4], 或在跟随同一条路径的过程中, 相邻两无人机沿路径的距离保持恒定值[5-6], 等等.
对于各僚机, 需要利用其与长机的相对位置等信息, 设计僚机跟随长机的控制律, 以使同一组内的所有无人机形成该群组的期望队形.
不失一般性, 本文假设为实现各长机之间以及长僚机之间协同所需的其他无人机的信息均由通信获取. 采用该分层分组控制方案的主要优点在于:
1) 该控制方案为分布式, 且充分利用了并行性, 因而适用于大规模集群.
2) 基于该控制方案, 每个群组中, 仅长机需要与其他群组的无人机通信; 其余无人机作为僚机, 只需要接收本组长机的信息; 因而在一定程度上降低了通信带宽.
3) 由于组内的长机具有引导组内僚机的能力, 在规划时只需要为长机规划航线, 对僚机采用基于跟随领航者的编队控制律实现与长机的同步, 因而该方案在一定程度上降低了任务规划的复杂度.
4) 该方案的控制架构仅有两层, 克服了因误差逐层累积及层级过多造成的协同误差大的问题; 同时该方案避免了过多个体跟随同一个领航者, 从而降低了对通信能力的需求.
1.2 长机/僚机控制问题描述在许多任务场景下, 无人机的飞行高度保持不变. 此时, 无人机运动学模型可表示为[5, 9]
| $ \begin{align} \begin{cases} \dot{x}_i = v_i\cos\theta_i+v_w\cos\theta_w, \\[2pt] \dot{y}_i = v_i\sin\theta_i+v_w\sin\theta_w, \\[2pt] \dot{\theta}_i = \omega_i. \end{cases} \end{align} $ | (1) |
其中:
| $ \begin{align} \begin{cases} 0<v_{\min}\leqslant v_i\leqslant v_{\max}, \\ |\omega_i|\leqslant \omega_{\max}. \end{cases} \end{align} $ | (2) |
其中:
现考虑长机的控制问题. 本文使每架长机都跟随一个在路径上移动的虚拟目标点, 记长机
注意到长机和僚机的控制量都需满足式(2)的控制约束, 为了给僚机跟随长机的控制留下一定裕度, 可进一步对长机的控制约束限制为
| $ \begin{align} \begin{cases} 0<v_{\min}^l\leqslant v_i\leqslant v_{\max}^l;\\ |\omega_i|\leqslant \omega_{\max}^l. \end{cases} \end{align} $ | (3) |
其中:
综上, 对长机的控制问题可概括如下.
问题1 给定
注1
对于各僚机, 其利用自身状态以及由通信获得的长机状态信息, 与长机保持期望的相对位置, 并实现与长机的朝向一致. 记长机
问题2 设长机
下文将基于分层分组控制方案, 分别设计长机和僚机的控制律.
2 长机控制律设计对长机的协同路径跟随控制涉及两方面, 一是单架长机的路径跟随控制, 使长机收敛到其路径上的虚拟目标点; 二是长机间的协同, 通过协调各长机的虚拟目标点实现.
2.1 单机路径跟随控制首先考虑单架长机的路径跟随控制. 本文为每一架长机都引入一个Frenet-Serret坐标系以表示长机的路径跟随误差, 该坐标系随虚拟目标点
|
图 2 单架长机的路径跟随误差 |
给定期望路径、长机的位置以及虚拟目标点的坐标,
| $ \begin{align} \begin{cases} e_{s_i} = (x_i-\tilde{x}_i)\cos\tilde{\theta}_i+(y_i-\tilde{y}_i)\sin\tilde{\theta}_i, \\ e_{d_i} = -(x_i-\tilde{x}_i)\sin\tilde{\theta}_i+(y_i-\tilde{y}_i)\cos\tilde{\theta}_i.\\ \end{cases} \end{align} $ | (4) |
令
| $ \begin{align} \begin{cases} \dot{e}_{s_i} = v_i\cos\bar{\theta}_i-(1-\kappa(l_i)e_{d_i})\dot{l}_i+v_w\cos(\theta_w-\tilde{\theta}_i), \\ \dot{e}_{d_i} = v_i\sin\bar{\theta}_i-\kappa(l_i)e_{s_i}\dot{l}_i+v_w\sin(\theta_w-\tilde{\theta}_i). \end{cases} \end{align} $ | (5) |
在无风情形下, 为使长机
| $ \begin{align} \sigma_i = -k_{\pi }\tanh(k_d e_{d_i}). \end{align} $ | (6) |
其中:
注意到有风条件下, 当路径跟随误差为零, 且误差系统(5)处于平衡点时, 长机
| $ \begin{align} \varpi_i = -{\rm arcsin}\dfrac{v_w\sin(\theta_w-\tilde{\theta}_i)}{v_i}, \end{align} $ | (7) |
则
| $ \begin{align} \bar{\theta}_{d_i} = \varpi_i+\sigma_i. \end{align} $ | (8) |
令
| $ \begin{align} \begin{cases} \dot{e}_{s_i} = v_i\cos\bar{\theta}_i-(1-\kappa(l_i)e_{d_i})\dot{l}_i+\varOmega_i, \\ \dot{e}_{d_i} = v_i\sin\bar{\theta}_i-\kappa(l_i)e_{s_i}\dot{l}_i+\varLambda_i, \\ \dot{\vartheta}_i = \omega_i-\kappa(l_i)\dot{l}_i-\dot{\bar{\theta}}_{d_i}, \end{cases} \end{align} $ | (9) |
其中
| $ \begin{align} \dot{\bar{\theta}}_{d_i} = &-k_{\pi}k_d{\rm sech}^2(k_d e_{d_i})\dot{e}_{d_i}-\\ &\dfrac{\dot{\varLambda}_i}{\sqrt{v_i^2-\varLambda_i^2}}+\dfrac{\varLambda_i\dot{v}_i}{v_i\sqrt{v_i^2-\varLambda_i^2}}. \end{align} $ | (10) |
根据
| $ \begin{align} \dot{\varLambda}_i = &\dot{v}_w\sin(\theta_w-\tilde{\theta}_i)+v_w(\dot{\theta}_w-\\ &\kappa(l_i)\dot{l}_i)\cos(\theta_w-\tilde{\theta}_i). \end{align} $ | (11) |
现设计如下的路径跟随控制律:
| $ \begin{align} \omega_i = &-k_{\omega}\vartheta_i+\kappa(l_i)\dot{l}_i+\dot{\bar{\theta}}_{d_i}-\\ &\dfrac{k_{\theta}v_ie_{d_i}(\sin\bar{\theta}_i-\sin\bar{\theta}_{d_i})}{\vartheta_i}, \end{align} $ | (12) |
并令
| $ \begin{align} \dot{l}_i = k_se_{s_i}+v_i\cos\bar{\theta}_i+\varOmega_i, \end{align} $ | (13) |
其中
| $ \begin{align} &\dfrac{\sin\bar{\theta}_i-\sin\bar{\theta}_{d_i}}{\vartheta_i} = \\ &\sin\Big(\dfrac{\vartheta_i}{2}\Big)\cos\Big(\dfrac{\bar{\theta}_i+\bar{\theta}_{d_i}}{2}\Big)\Big/\dfrac{\vartheta_i}{2}, \end{align} $ | (14) |
由于
令
引理1[5] 对于式(9)表述的系统, 若
控制律(12)和(13)能够使长机渐近收敛到其期望路径上的虚拟目标点, 因此, 长机的协同可通过协调虚拟目标点在期望路径上的更新速率来实现. 本小节研究虚拟目标点的更新控制律, 以实现虚拟目标点的协调控制.
基于本文提出的分层分组控制方案, 各长机需要与其他组的长机交互各自虚拟目标点的信息. 长机间的通信拓扑可由有向图
引理2 [18] 设
利用引理2, 各长机的虚拟目标点在路径上的移动可采用如下控制律:
| $ \begin{align} \dot{\xi}_i = -\beta \tanh\Big(\sum\limits_{j\in\mathcal{N}_i}k_{\xi}(\xi_i-\xi_j-\xi_{ij}^d)\Big)+\gamma_d, \end{align} $ | (15) |
其中
定理1 若
证明 定义Lyapunov函数
| $ \begin{align} V = \sum\limits_{i = 1}^{m}r_i\int _{0}^{-\sum\limits_{j\in\mathcal{N}_i}k_{\xi}(\xi_i-\xi_j-\xi_{ij}^d)}\tanh(s){\rm d}s, \end{align} $ | (16) |
其中
| $ \begin{align} u_i = -\sum\limits_{j\in\mathcal{N}_i}k_{\xi}(\xi_i-\xi_j-\xi_{ij}^d), \end{align} $ | (17) |
将式(17)对时间求导, 得
| $ \begin{align} \dot{u}_i = &-k_{\xi}\sum\limits_{j\in\mathcal{N}_i}(\dot{\xi}_i-\dot{\xi}_j) = k_{\xi}\sum\limits_{j = 1}^m\mathcal{L}_{ij}\dot{\xi}_j = \\ &-\beta k_{\xi}\sum\limits_{j = 1}^m\mathcal{L}_{ij}\tanh(u_j). \end{align} $ | (18) |
记
| $ \begin{align} &\dot{V} = \sum\limits_{i = 1}^{m}r_i\dot{u}_i\tanh(u_i) = \\ &-\beta k_{\xi}\sum\limits_{i = 1}^{m}r_i\tanh(u_i)\sum\limits_{j = 1}^m\mathcal{L}_{ij}\tanh(u_j) = \\ &-\dfrac{1}{2}\beta k_{\xi}(\tanh(\boldsymbol{u}))^{\rm T}Q\tanh(\boldsymbol{u}). \end{align} $ | (19) |
根据引理2,
由于存在
| $ \begin{align} {{\mathit{\boldsymbol{u}}}} = -k_{\xi}\mathcal{L}\tilde{\mathit{\boldsymbol{\xi}}}. \end{align} $ | (20) |
对于式(20), 由文献[20]中的引理2,
控制律(12)和(13)能够使各长机收敛到其路径上的虚拟目标点, 控制律(15)能够实现各长机虚拟目标点的协同控制. 现将两部分结合, 设计长机的协同路径跟随控制律. 根据式(13), 设置空速指令为
| $ \begin{align} v_i = \dfrac{\dot{l}_i-k_s e_{s_i}-\varOmega_i}{\cos \bar{\theta}_i}. \end{align} $ | (21) |
注意到按控制律(12)计算
| $ \begin{align} \dot{v}_i = \dfrac{\ddot{l}_i-\dot{\varOmega}_i-k_s\dot{e}_{s_i}}{\cos\bar{\theta}_i}+v_i\dot{\bar{\theta}}_i\tan\bar{\theta}_i, \end{align} $ | (22) |
其中
| $ \begin{align*} \dot{\varOmega}_i = \dot{v}_w\cos(\theta_w-\tilde{\theta}_i)-v_w(\dot{\theta}_w-\kappa(l_i)\dot{l}_i)\sin(\theta_w-\tilde{\theta}_i). \end{align*} $ |
假设
| $ \begin{align} \ddot{l}_i = &-\beta k_{\xi}\dfrac{{\rm d} l_i}{{\rm d} \xi_i}{\rm sech}^2\Big(\sum\limits_{j\in\mathcal{N}_i}k_{\xi}(\xi_i-\xi_j)\Big)\cdot\\[3pt] &\Big(\sum\limits_{j\in\mathcal{N}_i}(\dot{\xi}_i-\dot{\xi}_j)\Big)+\dfrac{{\rm d}\Big(\dfrac{{\rm d} l_i}{{\rm d} \xi_i}\Big)} {{\rm d} t}\dot{\xi}_i. \end{align} $ | (23) |
由式(23)可知, 长机的协同过程中, 需要由通信获得邻居长机的
式(22)中还用到了
| $ \begin{align} &A_i = -k_{\omega}\vartheta_i-\dfrac{k_{\theta}v_ie_{d_i}(\sin\bar{\theta}_i-\sin\bar{\theta}_{d_i})}{\vartheta_i}-\\ &\; \; \; \; \; \; \quad \; k_{\pi}k_d{\rm sech}^2(k_d e_{d_i})\dot{e}_{d_i}-\dfrac{\dot{\varLambda}_i}{\sqrt{v_i^2-\varLambda_i^2}}, \end{align} $ | (24) |
| $ \begin{align} &B_i = \dfrac{\varLambda_i}{v_i\sqrt{v_i^2-\varLambda_i^2}}, \end{align} $ | (25) |
| $ \begin{align} &C_i = \dfrac{\ddot{l}_i-\dot{\varOmega}_i-k_s\dot{e}_{s_i}}{\cos\bar{\theta}_i}, \end{align} $ | (26) |
| $ \begin{align} &D_i = v_i\tan\bar{\theta}_i. \end{align} $ | (27) |
将式(22)与(26)和(27)联立, 得
| $ \begin{align} \dot{v}_i = C_i+D_i\dot{\bar{\theta}}_i. \end{align} $ | (28) |
另一方面,
| $ \begin{align} \dot{\bar{\theta}}_i = A_i+B_i\dot{v}_i. \end{align} $ | (29) |
将式(28)与(29)联立, 并由
| $ \begin{align} \omega_i = \kappa(l_i)\dot{l}_i+\dfrac{A_i+B_iC_i}{1-B_iD_i}. \end{align} $ | (30) |
式(21)与(30)共同构成了长机的协同路径跟随控制律. 两式中的
定理2 考虑
| $ \begin{align} \phi_i(t_0)\in M\triangleq\{\phi_i\colon V_i\leqslant c^2\}. \end{align} $ | (31) |
其中:
| $ \begin{align} & 0<c<\dfrac{\pi -2\theta_{\eta}}{2\sqrt{2k_{\theta}}}, \end{align} $ | (32) |
| $ \begin{align} & \tan (\theta_{\eta}-k_{\pi})\tan(\theta_{\eta}+\sqrt{2k_{\theta}}c)<1, \end{align} $ | (33) |
| $ \begin{align} &\dfrac{\alpha_{i}^{\max}(\gamma_d+\beta)+\sqrt{2}k_sc+v_{w}^{\max}}{\cos(\theta_{\eta}+\sqrt{2k_{\theta}}c)}\leqslant v^l_{\max}, \end{align} $ | (34) |
| $ \begin{align} & \alpha_{i}^{\min}(\gamma_d-\beta)-\sqrt{2}k_sc-v_{w}^{\max}\geqslant v^l_{\min}. \end{align} $ | (35) |
对于
证明 首先证明, 整个控制过程中
情况1
情况2
情况3
综上,
注意到, 定理2并未保证
step 1:依据式(4)计算
step 2:利用虚拟目标点信息
step 3:依据式(15)计算
step 4:依据式(21)计算
step 5: if
step 6:依据式(30)计算
step 7:
step 8:更新
在step 5和step 7中所使用的饱和函数
本节设计僚机基于跟随领航者法的编队控制律. 为求解问题2, 首先通过坐标变换
| $ \begin{align} \begin{bmatrix} \tilde{x}_f\\ \tilde{y}_f\\ \tilde{\theta}_f\\ \end{bmatrix} = \begin{bmatrix} \cos\theta_f & \sin\theta_f & 0 \\ -\sin\theta_f & \cos\theta_f & 0 \\ 0 & 0 & 1\\ \end{bmatrix} \begin{bmatrix} x_l-x_f+d_f^x\\ y_l-y_f+d_f^y\\ \theta_l-\theta_f\\ \end{bmatrix}, \end{align} $ | (36) |
将惯性坐标系
|
图 3 僚机跟随误差 |
由图 3可以看出,
对式(36)求导, 可得
| $ \begin{align} \begin{cases} \dot{\tilde{x}}_f = \omega_f\tilde{y}_f-v_f+v_l\cos\tilde{\theta}_f, \\ \dot{\tilde{y}}_f = -\omega_f\tilde{x}_f+v_l\sin\tilde{\theta}_f, \\ \dot{\tilde{\theta}}_f = \omega_l-\omega_f. \end{cases} \end{align} $ | (37) |
由式(37)可以看出, 当所有无人机处于一个匀强风场中时, 风扰不会对僚机跟随长机的误差产生影响. 针对式(37)所描述的系统, 僚机的控制律可设计为如下形式:
| $ \begin{align} \begin{cases} \omega_f = {\rm Sat}\Big(\omega_l+k_{1}\Big(k_{2}\tilde{\theta}_f+\dfrac{\tilde{y}_f}{\sqrt{1+\tilde{x}_f^2+\tilde{y}_f^2}}\Big), \\ \; \; \; \; \; \; \; \; \; -\omega_{\max}, \omega_{\max}\Big), \\ v_f = \mathrm{Sat}(v_l\cos\tilde{\theta}_f+k_3\tilde{x}_f, v_{\min}, v_{\max}), \end{cases} \end{align} $ | (38) |
其中
注2 文献[14]指出, 对于系统(37), 若长机的空速
文献[14]给出了实现
在本文第1节建立的面向大规模固定翼无人机集群分层分组控制方案的基础上, 第2节和第3节分别设计了长机和僚机的控制律. 本节在此基础上, 对长机和僚机组成的闭环系统整体进行分析.
定理2指出, 若长机间通信拓扑为强连通有向图, 且长机
在实际中可能存在式(32)
| $ \begin{align*} &v_l\in[v^l_{\min}, v^l_{\max}], \\ &\omega_l\in[-\omega^l_{\max}, \omega^l_{\max}]. \end{align*} $ |
在此前提下, 算法尽可能实现长机的协同路径跟随控制. 由注2知, 此时对僚机采用式(38)的控制律仍可保证各僚机跟随其长机闭环控制系统的稳定性. 因此, 此做法可以视作在优先保证组内协同的基础上, 尽可能达到组间的协同. 由于通常情况下对于同一组内的无人机的相对位置保持的精度要求高于不同组之间的相对位置的精度, 这一做法也符合实际应用的需求.
注3 本文提出的编队控制算法可结合一些分布式冲突消解算法, 以避免同一组内或不同组之间的无人机发生碰撞. 例如, 在实际应用中, 可以设定一个安全阈值, 当与其他无人机之间的距离小于此安全阈值时, 开始执行文献[21]的冲突消解算法; 当与其他无人机的距离均大于此安全阈值时, 则执行本文设计的编队控制律.
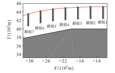
5 仿真分析为验证所提出的大规模集群编队控制方法的有效性, 本文面向典型的集群侦察和打击任务, 开展了100架规模的固定翼无人机集群全流程数值仿真. 任务想定如图 4所示, 无人机集群需要穿过山谷, 到达敌方区域执行覆盖搜索和目标打击任务. 整个任务可以划分为以下4个阶段.
|
图 4 大规模集群仿真实验任务想定 |
阶段1:整个集群以纵“二”字队形出动;
阶段2:各群组到达A点后, 变换成纵“一”字队形通过山谷;
阶段3:各群组通过山谷到达B点后, 转为横“一”字队形, 分别执行覆盖搜索任务;
阶段4:当第1个群组的无人机到达C点后, 接到打击目标区域的任务, 要求整个集群收缩队形, 以覆盖打击目标区域.
为完成该任务, 本文将100架无人机分为10个群组, 每组10架无人机, 并指定每个群组的第1架无人机为长机, 其他无人机作为僚机, 从而形成图 1中的分层分组控制架构. 长机间形成的通信拓扑如图 5所示, 图中的数字代表长机所对应的编号, 可以看出该拓扑为强连通有向图.
|
图 5 长机间形成的通信拓扑 |
仿真中, 采用表 1中的航路点拟合生成3次B样条曲线[10], 作为长机的期望路径, 本仿真设定在任务执行过程中, 所有长机共用同一条期望路径, 控制目标是使相邻两长机沿曲线的距离保持期望值, 故而
| 表 1 生成3次B样条曲线的航路点 |
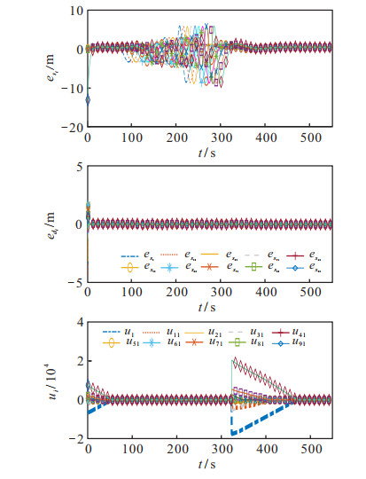
图 6展示了任务执行过程中长机的控制误差, 由图 6中可以看出, 各长机的路径跟随误差最终都收敛至零. 根据定理1的分析,
|
图 6 各长机的控制误差 |
现分析僚机的控制效果. 不失一般性, 在此选择第1个群组的僚机在阶段1的控制效果进行分析. 在该阶段, 设置组内的序号为奇数的无人机
|
图 7 在阶段1组1内所有僚机的跟随误差 |
图 8~图 11展示了大规模集群在各阶段的整体编队情况.图 8中深色的楔形表示长机, 浅色的楔形表示各群组的僚机, 曲线为长机的期望路径. 图 8以上下两个子图的形式展示了所有无人机在阶段1形成的纵“二”字队形. 各群组的长机到达图 4中的A 点后, 该组无人机变换成纵“一”字队形通过山谷, 进入阶段2, 如图 9所示. 在该阶段各僚机沿长机的虚拟目标点处的路径切线方向, 以30 m的间隔按序号依次排在长机后面. 与此同时, 相邻两长机之间沿曲线的期望距离保持不变.
|
图 8 大规模集群在阶段1形成的纵“二”字队形 |
|
图 9 大规模集群在阶段2形成的纵“一”字队形 |
|
图 10 规模集群在阶段3形成的多组横“一”字队形 |
|
图 11 大规模集群在阶段4打击目标区域时形成的队形 |
各群组的长机通过山谷到达图 4中的B点后, 该群组的无人机转为横“一”字队形, 进入阶段3, 执行覆盖搜索任务. 各组的编队设置为
图 11展示了无人机在阶段4的打击目标时刻形成的队形, 目标区域的大小为250 m
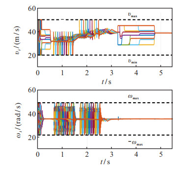
图 12展示了整个任务执行过程中所有无人机的控制量, 从中可以看出无人机的控制约束都能得到满足, 表明本文设计的编队控制算法可以有效应对固定翼无人机控制约束带来的挑战.
|
图 12 任务执行过程各无人机的控制量 |
本文针对大规模固定翼无人机集群的编队控制问题, 采用分组的思想, 并借助“长-僚机”框架的层级结构, 提出一种分层分组控制方案; 在此基础上, 分别设计了长机的协同路径跟随控制律和僚机的跟随长机控制律. 本文的方法可以有效地应对固定翼无人机集群的规模限制、控制约束和环境风的影响. 100架规模的固定翼无人机集群全流程数值仿真结果表明, 采用本文提出的方法, 控制误差收敛到零, 且在实现集群整体协同的同时, 始终满足固定翼无人机的控制约束.
下一步研究可借鉴文献[15]的模糊自适应控制方法, 并设计僚机之间的协同策略, 解决存在模型不确定性以及未知外界干扰情况下的编队控制问题.
| [1] |
王祥科, 刘志宏, 丛一睿, 等. 小型固定翼无人机集群综述和未来发展[J]. 航空学报, 2020, 41(4): 20-45. (Wang X K, Liu Z H, Cong Y R, et al. Miniature fixed-wing UAV swarms: Survey and directions[J]. Acta Aeronautica et Astronautica Sinica, 2020, 41(4): 20-45.) |
| [2] |
Vásárhelyi G, Virágh C, Somorjai G, et al. Optimized flocking of autonomous drones in confined environments[J]. Science Robotics, DOI: 10.1126/scirobotics.aat3536.
|
| [3] |
Wang X K, Shen L C, Liu Z H, et al. Coordinated flight control of miniature fixed-wing UAV swarms: Methods and experiments[J]. Science China Information Sciences, 2019, 62(11): 1-17. |
| [4] |
Xargay E, Kaminer I, Pascoal A, et al. Time-critical cooperative path following of multiple unmanned aerial vehicles over time-varying networks[J]. Journal of Guidance, Control, and Dynamics, 2013, 36(2): 499-516. DOI:10.2514/1.56538 |
| [5] |
Wang Y Z, Wang D W, Zhu S Q. Cooperative moving path following for multiple fixed-wing unmanned aerial vehicles with speed constraints[J]. Automatica, 2019, 100: 82-89. DOI:10.1016/j.automatica.2018.11.004 |
| [6] |
Chen H, Cong Y R, Wang X K, et al. Coordinated path following control of fixed-wing unmanned aerial vehicles[J]. 2019, arXiv: 1906.05453.
|
| [7] |
Wilson D B, Goktogan A H, Sukkarieh S. Vision-aided guidance and navigation for close formation flight[J]. Journal of Field Robotics, 2016, 33(5): 661-686. DOI:10.1002/rob.21637 |
| [8] |
Watanabe Y, Amiez A, Chavent P. Fully-autonomous coordinated flight of multiple UAVs using decentralized virtual leader approach[C]. Proceedings of IEEE/RSJ International Conference on Intelligent Robots and Systems (IROS). Tokyo: IEEE, 2013: 5736-5741.
|
| [9] |
Sujit P B, Saripalli S, Sousa J Borges. Unmanned aerial vehicle path following: A survey and analysis of algorithms for fixed-wing unmanned aerial vehicles[J]. IEEE Control Systems Magazine, 2014, 34(1): 42-59. DOI:10.1109/MCS.2013.2287568 |
| [10] |
Zhao S L, Wang X K, Lin Z Y, et al. Integrating vector field approach and input-to-state stability curved path following for unmanned aerial vehicles[J]. IEEE Transactions on Systems, Man, and Cybernetics: Systems, 2020, 50(8): 2897-2904. |
| [11] |
Kushleyev A, Mellinger D, Powers C, et al. Towards a swarm of agile micro quadrotors[J]. Autonomous Robots, 2013, 35(4): 287-300. DOI:10.1007/s10514-013-9349-9 |
| [12] |
Chung T H, Clement M R, Day M A, et al. Live-fly, large-scale field experimentation for large numbers of fixed-wing UAVs[C]. Proceedings of IEEE International Conference on Robotics and Automation (ICRA). Stockholm: IEEE, 2016: 1255-1262.
|
| [13] |
Das A K, Fierro R, Kumar V, et al. A vision-based formation control framework[J]. IEEE Transactions on Robotics and Automation, 2002, 18(5): 813-825. DOI:10.1109/TRA.2002.803463 |
| [14] |
Ren W, Beard R W. Trajectory tracking for unmanned air vehicles with velocity and heading rate constraints[J]. IEEE Transactions on Control Systems Technology, 2004, 12(5): 706-716. DOI:10.1109/TCST.2004.826956 |
| [15] |
沈智鹏, 曹晓明. 输入受限四旋翼飞行器的模糊自适应动态面轨迹跟踪控制[J]. 控制与决策, 2019, 34(7): 1401-1408. (Shen Z P, Cao X M. Fuzzy adaptive dynamic surface trajectory tracking control for quadrotor UAV with input constraints[J]. Control and Decision, 2019, 34(7): 1401-1408.) |
| [16] |
张皓, 张洪铭, 王祝萍. 基于事件触发的无人驾驶汽车路径跟随预测控制[J]. 控制与决策, 2019, 34(11): 2421-2427. (Zhang H, Zhang H M, Wang Z P. Event-triggered predictive path following control for unmanned autonomous vehicle[J]. Control and Decision, 2019, 34(11): 2421-2427.) |
| [17] |
Chen H, Zelazo D, Wang X K, et al. Convergence analysis of signed nonlinear networks[J]. IEEE Transactions on Control of Network Systems, 2020, 7(1): 189-200. DOI:10.1109/TCNS.2019.2913550 |
| [18] |
Zhang H W, Lewis F L, Qu Z H. Lyapunov, adaptive, and optimal design techniques for cooperative systems on directed communication graphs[J]. IEEE Transactions on Industrial Electronics, 2012, 59(7): 3026-3041. DOI:10.1109/TIE.2011.2160140 |
| [19] |
Khalil H K. Nonlinear systems[M]. Upper Saddle River: Prentice-Hall, 2002: 126-133.
|
| [20] |
Li Y, Xiang J, Wei W. Consensus problems for linear time-invariant multi-agent systems with saturation constraints[J]. IET Control Theory and Applications, 2011, 5(6): 823-829. DOI:10.1049/iet-cta.2009.0299 |
| [21] |
Yang J, Yin D, Shen L C. Reciprocal geometric conflict resolution on unmanned aerial vehicles by heading control[J]. Journal of Guidance, Control, and Dynamics, 2017, 40(10): 2511-2523. DOI:10.2514/1.G002607 |
2021, Vol. 36
