2. 安徽科技学院 管理学院,安徽 滁州 233100;
3. 浙江财经大学 经济学院,浙江 杭州 310018;
4. 南京审计大学 管理科学与工程学院,南京 211815;
5. 南京信息工程大学 数学学院,南京 210044
2. College of Management, Anhui Science and Technology University, Chuzhou 233100, China;
3. School of Economics, Zhejiang University of Finance & Economics, Hangzhou 310018, China;
4. College of Management Science and Engineering, Nanjing Audit University, Nanjing 211815, China;
5. College of Mathematics and Statistics, Nanjing University of Information Science and Technology, Nanjing 210044, China
灰色预测理论是灰色系统理论中最重要的分支之一, 自邓聚龙教授首次提出灰色系统理论以来[1], 灰色预测理论因其能相对准确描述含有“少数据、贫信息”特征的系统发展趋势, 被广泛应用到电力[2]、高新技术产业[3]、碳排放[4]等多个领域. GM(1, 1)模型是灰色预测理论中最核心模型之一, 其凭借简单的建模结构和便捷的计算过程获得了众多学者的青睐.然而, GM(1, 1)及其优化模型均是在等间距序列基础上进行建模分析, 现实中由于众多复杂原因可能导致原始数据不完整, 或者样本多属于非等间隔的状态数据, 如大坝沉降[5]、股票波动[6]、材料疲劳度测度[7]等数据.这类型数据不满足传统GM(1, 1)及其改进模型的建模条件, 因而预测效果较差, 需建立非等间距GM(1, 1)模型.
传统非等间距GM(1, 1)模型具有重要的应用价值和实际意义, 但其建模效果还存在一定缺陷, 学者主要从以下几个角度对其开展优化研究:背景值是影响模型精度的重要方面, Chang等[8]利用效能追踪法优化背景值参数, 使得优化模型具有更强的适应能力; 王叶梅等[9]利用非齐次指数拟合1-AGO序列, 重构非等间距GM(1, 1)模型的背景值; 针对现实中存在的非线性非等间隔问题, 王正新等[10]提出了非等间距GM(1, 1)幂模型, 并在钛合金疲劳强度预测中取得较好效果; Shen等[11]提出分数阶非等间距GM(1, 1)模型, 并利用Levenberg-Marquardt算法求解最优阶数, 增强模型预测能力; 郭欢等[12]提出了非等间隔GM(1, 1, tα)幂次时间项模型, 研究了模型曲线形状、发展系数与幂指数间的关系, 探讨模型参数空间, 并利用粒子群算法求解幂指数, 进一步扩展非等间距GM(1, 1)模型的应用范围; Zheng等[13]优化非等间距GM(1, 1)模型的参数估计方法, 并准确预测城市建设土地需求量.
除了上述对非等间距GM(1, 1)模型进行优化以外, 也有部分学者对模型白化方程的初始条件进行了优化.传统非等间距GM(1, 1)模型将以1-AGO序列的第1个分量(即x(1)(k1))作为初始条件, 只能保证第1点的模拟精度, 但不能充分发挥新数据的作用, 也不满足新信息优先原理, 造成整体模拟误差并不能达到最优.罗佑新[14]基于新信息原理提出了一种基于直接建模的逐步优化的新息非等间距GM(1, 1)模型, 该模型以x(1)(kn)作为模型初始条件, 使得优化模型突破了发展系数较大的预测禁区, 提高了建模精度.虽然该方法在一定程度上改善了建模效果, 但其过度重视新信息, 忽视了1-AGO序列中旧信息对模型预测结果的修正作用.为此, 熊萍萍等[15]以1-AGO序列各分量的加权和作为初始条件, 并根据各分量的序数特征计算权重, 利用残差平方和最小准则求解初始条件的时间参数, 进而构建初始条件优化的非等间距GM(1, 1)模型.该模型一定程度上克服了前两种优化方法的缺陷, 满足新信息优先原理, 但其没有依据1-AGO序列中各分量大小求解各自权重, 忽视了分量数值对权重分配的实际意义, 易导致模型预测效果不佳.
本文在对现有初始条件优化的非等间距GM(1, 1)模型缺陷进行分析的基础上, 提出新的初始条件优化方法:以1-AGO序列各分量加权和作为初始条件, 利用各分量数值的平方占所有分量数值平方和的比例作为权重, 提升对新信息的重视程度, 再利用相对误差平方和最小准则求解新初始条件的时间参数, 进而构建新信息优先原理下初始条件优化的非等间距GM(1, 1)模型.最后, 通过对具有递增和递减两种特征类型案例验证优化模型的有效性.
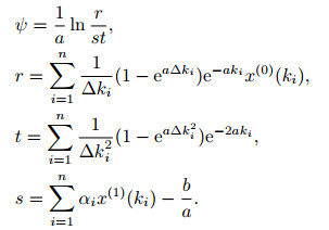
1 新信息优先原理下非等间距GM(1, 1)优化模型构建 1.1 非等间距GM(1, 1)模型建模机理定义1 若原始序列
|
其中Δki=ki-ki-1≠ const, i=2, 3, ..., n, 取Δk1=1, 则称X(0)为非等间距序列.
定义2 设
|
其中x(1)(ki)=
定义3 设X(0)和X(1)如定义1和定义2所示, z(1)(ki)为x(1)(ki)在区间[ki, ki+1]上的背景值, a和b分别为发展系数和灰作用量, 记
|
则称x(0)(ki)+az(1)(ki)=b为灰色微分方程, 也称为非等间距GM(1, 1)模型; 称dx(1)(t)/dt+ax(1)(t)=b为非等间距GM(1, 1)模型的白化微分方程.
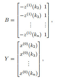
定理1 设X(0), X(1), Z(1), a和b如定义3所示, 参数r=[a, b]T为参数列, 且
|
则非等间距GM(1, 1)模型的最小二乘估计参数列满足
证明 由矩阵B和Y的表达式可见, GM(1, 1)模型可转化为矩阵方程Y=B


定理2 设X(0), X(1), Z(1), a和b如定义1、定义2和定义3所示, 则非等间距GM(1, 1)模型在i=2, 3, ..., n下有如下结论:
1) 若C为任意常数, 则白化方程的时间响应函数表达式为
|
(1) |
2) 在初始条件x(1)(t)|t = 1=x(1)(k1)下, i=2, 3, ..., n时的时间响应函数和还原值分别为
|
(2) |
|
(3) |
证明 1)由非等间距GM(1, 1)模型白化方程dx(1)(t)/dt+ax(1)(t)=b可求得其通解公式为
|
其中C为任意常数.
2) 取初始条件x(1)(t)|t=1=x(1)(k1), 将其代入式(1), 则求得
|
即式(2)得证; 再通过累减还原便可得到式(3).
上述为传统非等间距GM(1, 1)模型的建模机理, 记该模型为NEGM(1, 1, x(1)(k1))(Non-equidistant grey model having one variable and one order).由上述建模过程可见, 初始条件选择对非等间距GM(1, 1)模型预测建模精度有很大的影响, 对其进行改进是提升建模效果的重要手段.
1.2 非等间距GM(1, 1)模型现有初始条件优化方法及缺陷分析根据上述文献研究结果, 现有的对非等间距GM(1, 1)模型初始条件优化方法主要有3种类型:
1) 邓聚龙[1]提出的以x(0)(1)为初始条件, 该模型的时间响应函数和还原值如式(2)和(3)所示.该方法没有充分利用新信息, 并且x(0)(1)没有经过累加生成变换弱化随机性, 因而预测效果不太理想.
2) 罗佑新[14]提出的以x(1)(t)|t=1=x(1)(kn)为初始条件的模型, 其时间响应函数和还原值分别为
|
(4) |
|
(5) |
该优化方法虽然满足新信息优先原理, 并以最新信息作为初始条件, 但其忽视了一次累加生成序列的其他部分对系统的影响, 对于原本已经是贫信息、少数据的系统, 造成信息损失, 不利于模型精度的改善, 记该模型为NEGM(1, 1, x(1)(kn)).
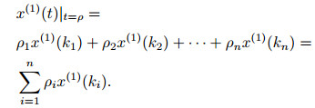
3) 熊萍萍等[15]提出的以x(1)(t)|t=ψ = α1x(1)(k1) +α2x(1)(k2)+...+αnx(1)(kn)为初始条件的模型.其中:ψ为时间参数, α1+α2+...+αn=1, αi=
|
(6) |
|
(7) |
其中
|
记该模型为IVWA-NEGM(1, 1).
该模型以一次累加生成序列的各分量加权和作为初始条件, 并基于新信息优先原理, 利用各分量的系数求解分量权重, 展现了对新信息较高的重视程度.但是, 在求解权重过程中, 该方法求解权重只与各分量时点序数有关, 而忽视了权重分配应与各分量实际意义间的关系, 并且, 若建模数据个数确定, 则无论分量大小怎样变化, 各分量权重都是固定的, 因而这种做法不符合现实逻辑, 易产生不合理误差.
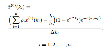
1.3 新信息优先原理下非等间距GM(1, 1)模型初始条件优化针对上述3种初始条件优化方法存在的不足, 本文提出了基于序列实际意义的初始条件构建方法, 既能满足新信息优先原理, 又充分考虑一次累加生成序列中各分量对系统的影响差异.具体构建过程如下:
|
(8) |
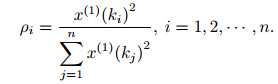
其中ρ为时间参数, ρi(i=1, 2, ..., n)为权重系数, 满足ρ1+ρ2+...+ρn=1.依据新信息优先原理, 对近期信息赋予较大权重, 对远期信息赋予较小权重, 可以进一步提升灰色预测模型建模精度, 故权重系数还应满足ρ1 < ρ2 < ... < ρn-1 < ρn.文献[15]采用的是利用各分量的序数大小计算权重, 反映对应数据的新旧程度, 该做法忽视了各分量数值意义, 并且对新信息赋予的权重相对较小, 重视程度相对不足.因此, 本文从各分量时点数据值大小出发, 基于新信息优先原理, 对权重系数采用如下求解办法:
|
(9) |
依据时点数据大小强化对新信息的重视程度.
由式(9)可知, 
定理3 设X(0), X(1), Z(1), a和b如定理2所示, 则在初始条件x(1)(t)|t=ρ=
|
(10) |
|
(11) |
证明 1)将x(1)(t)|t=ρ=
|
(12) |
将式(12)代入白化方程通解, 进而可以得到白化方程时间响应式为
|
离散化可得时间响应函数为
|
即1)得证.
2) 将结论1)代入
|
上述模型记为NEGM(1, 1, ρ)模型, 该模型能充分考虑新信息的作用, 避免了上述分析的NEGM(1, 1, x(1)(k1))和NEGM(1, 1, x(1)(kn))的不足:前者对新信息利用不足, 后者过度重视新信息, 忽视旧信息作用; 并且新模型初始条件各分量的权重系数在新旧信息间的分配完全依据各分量数据大小, 避免了IVWA-NEGM(1, 1)模型由序列序数决定权重的不合理性.
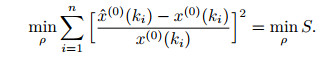
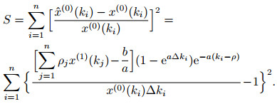
1.4 NEGM(1, 1, ρ)模型中时间参数ρ的求解针对时间参数ρ的求解, 以往文献多采用残差平方和最小准则建立无约束优化模型, 而模型误差建模标准常常选用平均相对误差最小准则, 两个准则的不一致性易导致模型优化效果不理想.因此, 本文拟在相对误差平方和最小准则下, 对时间参数ρ进行求解, 实现检验标准和优化标准的统一.
记X(0) = {x(0)(k1), x(0)(k2), ..., x(0)(kn)}和



|
(13) |
由定理3可知
|
记
|
则
|
设取极值的一阶条件为
|
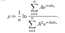
因为a为非等间距GM(1, 1)模型的发展系数, 反应序列的发展态势, 一般a≠0, 进而化简可得
|
最终化简可得
|
(14) |
为了进一步说明NEGM(1, 1, ρ)模型的有效性和先进性, 本文分别选取具有递增和递减特征的两种数据特征序列进行案例研究, 以突出本文优化模型的创新价值.
例1[15] 建筑物沉降的准确监测与预警对建筑工程的安全以及日常维护有着十分重要的意义, 如何准确、科学地预测地基沉降量, 引起了社会各界人士关注.实际工程应用中, 由于工程地质条件的复杂性以及观测时间间隔不同, 使得一般地基变形监测到的数据多呈现非等间隔特征, 常规等间距的预测方法往往精度不高, 因此, 灰色预测理论中的非等间距GM(1, 1)模型比较适合解决此类问题.文献[15]收集的是淮海工学院教学实验楼的部分沉降数据, 如表 1所示, 显然数据呈现非等间距特征, 因而采用非等间距GM(1, 1)模型进行建模研究.
| 表 1 淮海工学院教学实验楼累计沉降观测值[15] |
为验证本文模型的有效性和适用性, 选择文献[15]中案例数据, 对比现有非等间距GM(1, 1)模型初始条件优化方法的有效性.针对表 1中数据, 本文将前8个数据作为模拟观察值, 后2个用于外推预测, 分别构建NEGM(1, 1, x(1)(k1))、NEGM(1, 1, x(1)(kn))、IVWA-NEGM(1, 1)和NEGM(1, 1, ρ)模型, 根据文献[15]的建模结果, 可得:
1) 建立NEGM(1, 1, x(1)(k1))模型, 可得时间响应函数为
|
(15) |
2) 建立NEGM(1, 1, x(1)(kn))模型, 可得时间响应函数为
|
(16) |
3) 建立IVWA-NEGM(1, 1)模型, 通过对序数序列计算, 各分量权重为
|
(17) |
时间参数β=176.25005, 进而可得时间响应函数为
|
(18) |
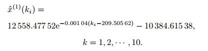
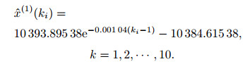
4) 建立NEGM(1, 1, ρ)模型, 可得a=-0.00104, b=10.76857, 根据式(9)可以计算得到1-AGO序列对应的权重为
|
(19) |
由式(8)可得初始条件为
|
根据式(14)计算时间参数ρ=209.50562, 于是可得时间响应函数为
|
(20) |
根据式(15)~(20), 可以计算得到4种模型的模拟和预测值, 如表 2所示.
| 表 2 淮海工学院教学实验楼累计沉降中4种模型的模拟值、预测值及相对误差 |
从整体表现来看, 4个模型对建筑物沉降模拟和预测误差均在10%以内, 表现出很好的建模精度, 说明非等间距GM(1, 1)模型在处理建筑物沉降预测问题时具有较好的适用性.从4个模型各自建模效果看, NEGM(1, 1, x(1)(k1))模型表现最差, 两步预测平均误差为5.2095%, 主要是由于传统模型初始条件未能充分利用新信息的作用, 导致建模效果不理想; NEGM(1, 1, x(1)(kn))模型虽然预测效果好于NEGM(1, 1, x(1)(k1))模型, 但是由于其过分重视新信息, 忽视了一次累加生成序列的中间部分数据中潜在的有效信息, 造成信息损失, 因而预测表现也相对较差, 两步预测平均误差为5.1124%;对于IVWA-NEGM(1, 1)模型, 鉴于其对一次累加生成序列中各分量信息的充分考虑, 又基于新信息优先原理对各分量进行赋权, 进而构建加权平均的初始条件, 提升了非等间距GM(1, 1)模型对新信息的挖掘能力, 相对于前两种模型具有较好的预测效果, 两步预测平均误差为3.4479%, 但是其权重分配方式完全依赖各分量序数值, 未能考虑分量数值大小对权重分配的重要意义, 因而预测误差还未达到理想效果.
对于本文提出的NEGM(1, 1, ρ)模型, 其初始条件重构过程中既充分考虑了一次累加生成序列各分量对系统的影响, 又充分利用了各时点分量数值确定初始条件中权重信息在新旧信息间的分配关系.由式(17)和(19)的1-AGO序列各分量的权重可以看出, 本文模型的初始条件对近期两个分量赋予的权重分别是0.235477和0.445982, 而IVWA-NEGM(1, 1)模型初始条件的近期两个分量权重分别为0.21097和0.28248, 进一步表明本文模型的初始条件强化了对新信息的权重分配, 更加重视新信息对未来趋势的修正作用, 因此NEGM(1, 1, ρ)模型能取得更高的预测精度, 两步预测平均误差高达2.6001%.
例2[8] 薄膜场效应晶体管(TFT-LCD)是一种低能耗、低辐射、长寿命的电子元器件, 被广泛用于电脑显示器、电视等多种显示器制造生产中.在TFT-LCD的生产过程中, 颜色滤波器(Color filter, CF)是影响晶体管显示质量的最关键因素, 其光阻材料涂层厚度大小直接影响显示器颜色呈现效果, 因此在颜色滤波器生产过程中必须准确控制涂层厚度.在实际生产过程中, 常常利用光阻材料涂层工艺阶段的设备转速(Revolutions per minute, RPM)来估计CF的材料涂层厚度, 进而提升产品质量. 表 3为台湾某TFT-LCD工厂的实验数据, 可以根据下阶段的设备转速预测CF的涂层厚度, 进而控制晶体管的生产质量.
| 表 3 CF生产过程中涂层厚度与设备转速数据[8] |
基于表 3中的数据, 以前5个数据作为模拟观测值, 后2个用于外推, 分别构建4种初始条件优化模型, 建模结果如下:
1) 建立NEGM(1, 1, x(1)(k1))模型, 可得时间响应函数为
|
(21) |
2) 建立NEGM(1, 1, x(1)(kn))模型, 可得时间响应函数为
|
(22) |
3) 建立IVWA-NEGM(1, 1)模型, 通过对序数序列计算, 各分量权重为
|
(23) |
时间参数β=495.6540, 进而可得时间响应函数为
|
(24) |
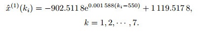
4) 建立NEGM(1, 1, ρ)模型, 可得a=0.001588, b=1.778031, 根据式(9)可以计算得到1-AGO序列对应的权重为
|
(25) |
由式(8)可得初始条件为
|
根据式(14)计算时间参数ρ=529.2007, 可得时间响应函数为
|
(26) |
根据式(21)~(26), 可以计算得到4种模型的模拟值和预测值, 如表 4所示.
| 表 4 CF生产过程中涂层厚度的模拟值、预测值及相对误差 |
从颜色滤波器生产过程中数据预测结果可以看出, NEGM(1, 1, ρ)模型的初始条件更加重视对新信息的利用, 其预测结果好于传统3种初始条件优化模型, 其两步预测精度达到0.993%.而IVWA-NEGM(1, 1)模型也表现不俗, 其两步预测结果优于NEGM(1, 1, x(1)(k1))和NEGM(1, 1, x(1)(kn))模型, 进一步表明新信息的利用可以进一步改善预测效果.
3 结论现实工程应用中, 非等间距序列建模问题广泛存在, 因而非等间距GM(1, 1)模型具有一定的研究价值.在对现有非等间距GM(1, 1)模型初始条件的优缺点进行研究的基础上, 本文基于新信息优先原理, 重构了初始条件.提出利用一次累加生成序列的各分量加权和优化初始条件, 使得优化的初始条件不仅满足新信息优先原理, 还充分挖掘各分量信息; 并且, 本文基于各分量数值大小来设定新旧信息间的权重关系, 在相对误差平方和最小准则下求解时间参数, 从而构建非等间距GM(1, 1)优化模型, 即NEGM(1, 1, ρ)模型.相较于IVWA-NEGM(1, 1)模型, 本文模型赋予新信息更大权重, 强化新信息对系统未来趋势的修正作用.通过对建筑物累积沉降量和颜色滤波器光阻材料涂层厚度的模拟和预测, 发现NEGM(1, 1, ρ)模型明显优于其他对比模型, 表明新的NEGM(1, 1, ρ)模型具有较好的适用性和可靠性.
本文虽然在一定程度上解决了现有非等间距GM(1, 1)模型初始条件优化问题, 但也存在一定的不足, 对于时间权重在各分量间的分配方式, 是否还存在其他更好的权重计算方式, 有待依据现实问题进一步研究和完善.
| [1] |
邓聚龙. 灰理论基础[M]. 武汉: 华中理工大学出版社, 2002: 10-15. (Deng J L. The basis of grey theory[M]. Wuhan: Press of Huazhong University of Science and Technology, 2002: 10-15.) |
| [2] |
Ding S, Keith Hipel, Dang Y G. Forecasting China's electricity consumption using a new grey prediction model[J]. Energy, 2018, 149: 314-328. DOI:10.1016/j.energy.2018.01.169 |
| [3] |
丁松, 党耀国, 徐宁, 等. 基于时滞效应的多变量离散灰色预测模型[J]. 控制与决策, 2017, 32(11): 1997-2004. (Ding S, Dang Y G, Xu N, et al. Multi-variable time-delayed discrete grey model[J]. Control and Decision, 2017, 32(11): 1997-2004.) |
| [4] |
Ding S, Dang Y G, Li X M, et al. Forecasting Chinese CO2 emissions from fuel combustion using a aovel grey multivariable model[J]. J of Cleaner Production, 2017, 162: 1527-1538. DOI:10.1016/j.jclepro.2017.06.167 |
| [5] |
吴邦彬, 陈兰, 葛萃. 改进的非等间距GM(1, 1)模型在大坝沉降分析中的应用[J]. 水电能源科学, 2012, 30(6): 95-97. (Wu B B, Chen L, Ge C. Application of improved non-equidistance GM(1, 1) model in dan settlement analysis[J]. Water Resource and Power, 2012, 30(6): 95-97. DOI:10.3969/j.issn.1000-7709.2012.06.027) |
| [6] |
Deng L R, Hu Z Y, Yang S G, et al. Improved non-equidistant grey model GM(1, 1) applied to the stock market[J]. J of Grey System, 2012, 15(4): 189-194. |
| [7] |
Li D C, Chang C J, Chen W C, et al. An extended grey forecasting model for omnidirectional forecasting considering data gap difference[J]. Applied Mathematical Modelling, 2011, 35(10): 5051-5058. DOI:10.1016/j.apm.2011.04.006 |
| [8] |
Chang C J, Li D C, Chen C C, et al. A forecasting model for small non-equigap data sets considering data weights and occurrence possibilities[J]. Computers & Industrial Engineering, 2014, 67(1): 139-145. |
| [9] |
王叶梅, 党耀国, 王正新. 非等间距GM(1, 1)模型背景值的优化[J]. 中国管理科学, 2008, 16(4): 159-162. (Wang Y M, Dang Y G, Wang Z X. The optimization of background value in non-equidistant GM (1, 1) model[J]. Chinese J of Management Science, 2008, 16(4): 159-162. DOI:10.3321/j.issn:1003-207X.2008.04.024) |
| [10] |
王正新, 党耀国, 刘思峰. 非等间距GM (1, 1)幂模型及其工程应用[J]. 中国工程科学, 2012, 14(7): 98-102. (Wang Z X, Dang Y G, Liu S F. Non-equidistant GM (1, 1) power model and its application in engineering[J]. Chinese Engineering Science, 2012, 14(7): 98-102. DOI:10.3969/j.issn.1009-1742.2012.07.015) |
| [11] |
Shen Y, He B, Qin P. Fractional-order grey prediction method for non-equidistant sequences[J]. Entropy, 2016, 18(6): 227-243. DOI:10.3390/e18060227 |
| [12] |
郭欢, 肖新平. 非等间隔GM (1, 1, tα)幂次时间项模型及其应用[J]. 控制与决策, 2015, 30(8): 1514-1518. (Guo H, Xiao X P. Non-equidistance GM (1, 1, tα) model with time power and its application[J]. Control and Decision, 2015, 30(8): 1514-1518.) |
| [13] |
Zheng B H, Luo L. Non-equidistance optimum grey model GM (1, 1) of requirement analysis of urban construction land and its empirical study[J]. Electronic J of Geotechnical Engineering, 2015, 20(22): 1227-1232. |
| [14] |
罗佑新. 非等间距新息GM (1, 1)的逐步优化模型及其应用[J]. 系统工程理论与实践, 2010, 30(12): 2254-2258. (Luo Y X. Non-equidistant step by step optimum new information GM (1, 1) and its application[J]. Systems Engineering - Theory & Practice, 2010, 30(12): 2254-2258. DOI:10.12011/1000-6788(2010)12-2254) |
| [15] |
熊萍萍, 党耀国, 姚天祥. 基于初始条件优化的一种非等间距GM (1, 1)建模方法[J]. 控制与决策, 2015, 30(11): 2097-2102. (Xiong P P, Dang Y G, Yao T X. Modeling method of non-equidistant GM (1, 1) model based on optimization initial condition[J]. Control and Decision, 2015, 30(11): 2097-2102.) |
2019, Vol. 34
