2. 中国科学院沈阳自动化研究所 机器人学国家重点实验室,沈阳 110016;
3. 南开大学 天津市智能机器人技术重点实验室,天津 300350
2. State Key Laboratory of Robotics, Shenyang Institute of Automation, Chinese Academy of Sciences, Shenyang 110016, China;
3. Tianjin Key Laboratory of Intelligent Robotics, Nankai University, Tianjin 300350, China
早在1960年机器人便步入电气时代, 并于1999年开启了智能时代.伴随智能技术发展至今, 使用传统电机、液压等驱动方式来替代人力, 完成简单的机械任务, 已不足以适应新一代智能机器人的迫切需求.随着智能机器人在人类生产、生活领域的不断渗透, 是否足够轻质高效、能否保障安全协作、可否实现柔顺控制成为研究人员新的着眼点[1-4].这种情况下, 与人体肌肉具有相似形态结构和运动机理的仿生柔性执行器——气动人工肌肉(pneumatic artificial muscle, PAM)逐渐成为机器人控制领域的热点研究对象.在构成方面, 气动人工肌肉结构简单、材料轻便, 将其作为驱动元件装配在机器人上, 不仅可以改善系统的柔顺性, 而且可以进一步提高人机交互的安全性和舒适性.因此, 气动人工肌肉驱动的机器人非常适用于智能制造、医疗康复、水下探测、灾难救援等领域, 具有广阔的应用前景[5-10].
气动人工肌肉的主体是一根柔软的空心橡胶管, 管外被一层编织护套同轴包裹, 空心管的两端配备连接气管(输送高压气体)的密封接头, 与本质上是刚性元件的气缸相比, 柔性的气动肌肉更具安全性.目前, 气动人工肌肉种类繁多, 主要有编织型(如最常用的McKibben气动肌肉)、褶型、弯曲型等[11-16], 具体见图 1, 图中编织型肌肉来自Festo官网(https://www.festo.com/fluidicmuscle), 褶型肌肉图来自文献[15], 弯曲型肌肉图来自文献[16]; 基本工作原理是气源通过阀门向橡胶管内部通入高压缩空气, 借助内外压力差实现径向扩张/收缩与轴向的收缩/舒张, 从而产生轴向作用力驱动机器人运动[17-19].
|
图 1 气动人工肌肉的主要类型 |
为了探索气动人工肌肉在智能机器人中的实际表现, 已有大量文献对其固有特性提出一系列观点[20-24].通过回顾、总结这些现有文献的描述, 气动人工肌肉驱动的机器人具备许多独有的优势, 主要表现在如下几个方面:
1) 材料轻质、体积小.由于气动人工肌肉主体材料为橡胶(如氯丁橡胶、丙烯酸酯橡胶等), 且小部分金属连接件为密度很低的铝合金, 其整体质量非常轻.例如, Festo公司生产的内径5 mm的气动肌肉, 每1 m长度仅有27 g.
2) 高功率密度.基于轻质的材料, 气动人工肌肉的功率/力自重比非常大.例如, 一根内径20 mm的气动人工肌肉足以提供1 500 N的拉力, 可以满足实际应用中的重载需求.
3) 安装便捷、运动平滑.与传统电机相比, 无需装配减速器等传动装置, 只需连接密封插头和气管即可将其配置在机器人框架中, 简单快捷.此外, 与气缸相比, 气动肌肉不存在活塞一类的滑动部件, 可更加平滑地实现驱动, 大幅提升气动势能-机械能的转换效率.
4) 清洁安全、柔顺性好.气动人工肌肉能量来源清洁环保, 运动过程中不会污染环境, 且防污、抗腐蚀较强.同时, 气动人工肌肉具有很好的柔顺特性, 在很多狭窄的工作环境, 或者是人机交互性较强的场合, 如外科手术、步态康复训练等, 可以很好地驱动机器人实现灵活的主动/被动柔顺控制.
然而, 任何事物都具有两面性, 气动人工肌肉凭借独特优势在机器人领域快速占据一席之地的同时, 也暴露出其物理结构与特性所导致的一系列控制难点.目前, 主流看法认为, 针对气动人工肌肉驱动机器人, 设计高效的自动控制策略需要考虑如下几种固有缺陷:
1) 高度非线性、时变特性.受到内部压缩空气的影响, 气动人工肌肉的力/气压与收缩长度之间呈现复杂的非线性关系, 并且其系统参数往往仅能在很小一段工作气压内进行辨识, 这为在整个工作气压范围内建立精确的动力学模型带来了挑战[25-26].
2) 迟滞、蠕变特性.考虑到编织网、橡胶管之间存在摩擦, 橡胶管在收缩/舒张过程中发生弹性形变, 工作时间增加所引起的松弛和温升现象, 气动人工肌肉通常具有迟滞与蠕变效应, 对肌肉正反行程、输出力上升速率造成影响[27-28].此外, 气动人工肌肉挂载的负载质量不同, 其迟滞曲线正反行程间距将会发生变化[29].
3) 伸缩频率受限, 存在阈值气压.文献[30]对不同频率正弦波进行跟踪测试发现, 参考波形频率越高, 气动人工肌肉驱动的机器人跟踪性能越差.文献[31]认为气动人工肌肉内部压力变高或振动幅度变大, 气体质量流量则会相应地提高, 这导致系统带宽随着压力的增加而减小, 因此限制了肌肉的收缩频率.此外, 在较低的气压段, 随着气压的增加, 输出力保持不变, 直至气压越过阈值气压值输出力才会随着气压的变化而变化[32-33].
对气动人工肌肉驱动的机器人而言, 为了更加全面地处理上述问题, 不仅需要对机器人本体机械结构进行动力学建模, 还需额外引入气动人工肌肉的力/气压-收缩率模型, 以构建更加准确的动力学模型.为此, 基于气动人工肌肉的静/动态特性, 许多极具开创意义的建模成果纷纷涌现, 大致可以分成理论模型、现象模型、实验模型、有限元模型、变截面气缸模型以及基于气体多变方程的模型等[34-38].近年来, 气动人工肌肉建模及运动控制技术所取得的成就, 在一定程度上促进了其在机器人领域中的广泛应用.具体而言, 考虑到患者肢体康复需要依赖辅助装置进行主/被动训练, 部分文献将气动人工肌肉作为助力装置, 研制出一系列医疗康复机器人, 如气动肌肉下肢机器人[39]、气动肌肉内窥镜[40]、气动肌肉手指康复机器人[41]等.为了利用气动人工肌肉与生物肌肉的相似性, 有学者将其应用至仿生领域, 模拟人类/其他生物的特殊运动, 例如气动肌肉足式机器人[42]、气动肌肉握手机器人[43]、仿生鳐鱼[44]、气动肌肉机器人眼[45]等.此外, 由于气动肌肉体积小, 动作灵活, 可以运用在一些狭窄、复杂的工作环境中, 设计一些探测、抢险、生产机器人, 如气动肌肉柔性手臂、气动肌肉核废料回收机器人、气动肌肉抓取手等, 促进人机协作, 取代人工完成一些危险工作, 确保操作人员的安全性.上述建模方法与实际应用示例如图 2所示.
|
图 2 气动肌肉驱动机器人建模与应用 |
本节针对气动人工肌肉的工作原理、优势缺陷、建模与应用现状等方面逐一进行了阐述.在第1节、第2节中, 将重点对单、多气动人工肌肉驱动的机器人运动控制方法的最新研究现状进行详细介绍.在此基础上, 于第3节简要总结当前研究进展与亟待解决的挑战, 展望气动人工肌肉驱动的机器人未来发展趋势.
1 单气动肌肉驱动的机器人运动控制气动人工肌肉因其特殊的材料和结构呈现出复杂的非线性、迟滞性和不确定性, 为其驱动的机器人运动控制带来了非常大的挑战.由于单根气动人工肌肉只能产生单一直线方向上的收缩力, 致使由单气动肌肉驱动的机器人自由度低、机械结构相对简单, 因此国内外学者首先从单气动肌肉运动控制问题展开研究, 为随后推广至多气动肌肉驱动的机器人运动控制研究奠定了基础.目前, 针对单气动肌肉驱动的机器人运动控制问题, 涌现出一系列具有创新意义和应用价值的研究成果.具体而言, 根据单/多肌肉驱动机器人研究阶段的时间顺序, 大体分为传统、高级、智能3大类控制策略.考虑到不同领域的气动肌肉机器人的控制目标与实际问题存在差异, 可对传统、高级、智能的控制方法进一步细分为(见图 3): 1)实现简单力/位控制, 减小稳态误差, 进行前馈补偿, 处理迟滞等问题: PD、PI、PID、前馈控制、bang-bang控制等; 2)实现精准跟踪控制:最优控制、主动控制、非线性轨迹跟踪等; 3)处理不确定性/未知持续扰动影响并实现精准跟踪:自适应控制、滑模控制、自抗扰控制等; 4)处理模型未知、复杂干扰与非线性未知函数:神经网络方法、模糊算法、学习控制等.此外, 为处理气动肌肉的诸多特性, 下述控制方法并不是其他领域相关方法的简单移植, 而需结合其固有特性和优势缺陷重新设计与实践, 为此本节将逐类进行详细阐述.
|
图 3 单至多气动肌肉驱动机器人控制策略发展趋势 |
由于目前绝大多数控制方法需要依赖具体模型进行设计, 在介绍气动肌肉驱动的机器人运动控制方法前, 先简要阐述几种气动人工肌肉主流模型的具体表达式.
1) 常用的气动肌肉理论模型[13]为
|
(1) |
其中: Fc(t)为肌肉产生的力; P(t)为肌肉内部气压; z(t)为收缩率; R0为肌肉原始内径; c1、c2为结构相关参数; ϕ为比例系数.
2) 常用的气动肌肉现象模型[36]为
|
(2) |
其中: Mp为气动肌肉悬挂的负载质量; yp(t)为负载的位移; Dp、Sp、Fe分别为阻尼系数、弹簧系数以及收缩力元件的有效力; g为重力常数.
3) 常用的气动肌肉动态模型[46]为
|
(3) |
其中: Vp为气动肌肉的体积; mair(t)为肌肉中空气质量; R、q分别为通用气体常数与多方指数; Ta为肌肉中气体的温度; cj为多项式系数.
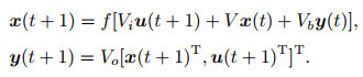
1.2 传统控制方法传统的控制方法, 如PID、PI等, 因结构简单、参数易调、容易实现, 被首先用于单气动肌肉驱动的机器人运动控制中[47-49].由于气动人工肌肉具有强迟滞性, 学者们提出了一些基于前馈迟滞补偿的控制策略.具体而言, 首先对气动人工肌肉的迟滞特性进行建模作为前馈补偿器, 再结合传统的反馈控制器实现对由单气动肌肉驱动的机器人的运动控制.例如, Liu等[47]设计了一种由单根气动人工肌肉和伸缩弹簧协同驱动的仿生半主动机器人关节, 基于修正的Prandtl-Ishlinskii模型进行迟滞建模作为前馈补偿, 并采用传统的PID控制作为反馈控制器, 实现了对关节角的定位跟踪控制.类似地, Xie等[48]采用一种改进的广义Prandtl-Ishlinskii模型前馈补偿单根气动人工肌肉不对称的气压位移迟滞特性, 同时在反馈回路中采用了传统的PI控制器.
在传统PID、PI控制方法的基础上, 为了进一步提高控制精度, 学者们提出了一种带有前馈迟滞补偿的级联位置控制策略.该策略内环基于气动人工肌肉内部的气压反馈, 用来处理其内部气压的非线性特性; 外环基于气动人工肌肉的位置反馈, 用来处理其动力学本身的非线性特性.例如, Minh等[49]针对一种单气动人工肌肉-负载系统, 首先利用Maxwell-slip模型对气动人工肌肉的气压位移迟滞特性进行建模和前馈补偿, 然后采用级联控制结构(如图 4所示), 内环和外环均采用传统的PI控制器分别进行气压控制和定位跟踪控制.
|
图 4 带前馈迟滞补偿的级联控制示意图 |
气动人工肌肉的迟滞建模过程非常复杂, 一般很难得到其精确的动力学模型, 而传统控制方法在处理系统的未建模动态、时变性以及外界扰动等不确定因素时缺乏灵活性和鲁棒性.为此, 国内外学者们针对单气动肌肉驱动的机器人, 提出了一系列比较高级的控制方法[25, 46, 50-58], 如自适应控制方法、滑模控制方法、自抗扰控制方法等, 降低了系统模型的精度要求, 大大减少了建模工作量, 能够在线补偿系统的未建模和不确定动态, 提高对外界扰动的鲁棒性, 具有更高的实际应用价值.
目前, 在基于模型的控制方法中, 气动人工肌肉的三元素模型是最常用的模型之一, 将气动人工肌肉等效成由弹簧元件、阻尼元件和收缩元件并联而成的结构, 最早由Reynolds等[36]提出, 但是难以在整个工作气压范围内辨识其参数.为此, Andrikopoulos等[46]采用一种切换分段仿射模型处理单气动肌肉系统的非线性, 并基于此提出一种有限时间约束最优控制方法, 实现了各个工作子区间上的最优控制, 同时保证了系统在切换过程中的平稳过渡.此外, Zhang等[25]针对单气动肌肉系统提出了一种基于模型的主动控制策略, 采用气动人工肌肉广义的三元素模型作为参考模型, 模型方程如下:
|
(4) |
其中: x为气动人工肌肉的位移; p为气动人工肌肉的内部气压; m为负载质量; g为重力加速度; b(p)、ki(p)、f(p)分别为阻尼系数、弹簧系数和收缩力; b1、b0、ki1、ki0、f1、f0为未知的多项式系数, 可以通过实验辨识得到.基于模型(4), 采用一种非线性PID控制器作为标称控制器, 随后利用卡尔曼滤波器对参考模型误差进行主动估计, 同时设计附加控制器对标称控制器进行修正, 有效补偿了系统的建模误差, 提高了控制精度.
为了更好地处理气动人工肌肉系统的未建模和不确定动态, 自适应控制方法是一种常用的控制方案.例如, Lilly[51]设计了两个由单根气动人工肌肉驱动的二连杆机构, 分别模拟人体的肱二头肌和肱三头肌, 并基于气动人工肌肉的三元素模型提出一种非线性自适应控制方法, 实现了对关节角度良好的轨迹跟踪控制. Zhu等[52]将单气动人工肌肉等效为一个由非线性摩擦单元、非线性弹簧元件和非线性收缩单元平行连接的结构, 由于系统的时变性和不确定性, 模型参数难以精确地辨识, 尤其是摩擦单元会在气动人工肌肉充气和放气的过程中呈现出不同的非线性特性, 基于此, 设计了一种基于反步技术的自适应伺服控制器, 在运动过程中实时补偿系统的未建模动态和不确定性, 在实现平滑稳定跟踪控制的同时确保跟踪轨迹在参考轨迹附近的有界范围内.
此外, 滑模控制方法因其响应速度快、物理实现简单、对参数摄动和外界干扰具有鲁棒性等优点, 也常用于单气动肌肉驱动机器人的运动控制中.例如, Slightam等[53]针对单根气动肌肉系统建立了一种考虑动摩擦的非线性集总参数状态空间方程, 无需反馈线性化和模型观测, 并设计如下的高阶积分滑模面:
|
(5) |
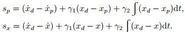
其中: λ、α为可调整的正的常数; n为系统阶数.基于此, 设计鲁棒控制器实现了快速准确的定位跟踪控制.此外, Zhao等[54]基于气动人工肌肉的三元素模型, 设计了如下基于代理的滑模面:
|
(6) |
其中: xd、x、xp分别为被控对象的期望位移、被控对象的位移和代理的位移; γ1、γ2为正的常数.通过在滑模面中引入积分项, 减少了传统滑模控制带来的抖振现象, 提高了系统的稳定性和鲁棒性.与上述方法不同的是, Ba等[55]考虑单气动人工肌肉系统的复杂非线性和不确定性, 将其等效为灰箱模型, 分别建立了带有灰箱函数的力动力学方程和气压动力学方程.基于此, 提出了一种基于滑模面的鲁棒时延非线性控制方法, 采用时延估计器在降低计算成本的同时主动补偿整个系统的动态特性, 同时设计了一种具有高鲁棒性的滑模控制器, 能够主动补偿估计误差, 保证闭环系统的渐近收敛性.
在复杂多变的实际工作环境中, 为了进一步提高系统抑制干扰的能力, 一些学者针对单气动肌肉驱动的机器人, 提出了基于扰动估计的自抗扰控制方法.例如, 文献[56]设计了一种由快速开关电磁阀驱动的单气动肌肉位置伺服系统, 基于此提出了一种二阶自抗扰控制策略, 采用扩展状态观测器补偿包括系统不确定动态和外界干扰在内的集总扰动, 实现了快速准确的定位控制. Xing等[57]利用三元素模型对单气动人工肌肉系统建模, 并且通过实验的方法辨识未知模型参数, 实验结果表明要建立阻尼系数与工作气压之间的复杂非线性关系是非常困难的, 考虑到阻尼系数对整个动态模型的影响比较小, 采用一个有限频带进行描述.之后在控制器设计中, 将未建模动态、参数不确定性以及外界扰动视为集总扰动, 在传统滑模控制结构的基础上引入非线性扰动观测器补偿系统的集总扰动, 提高了系统的抗干扰能力.进一步地, Wu等[58]同样针对气动人工肌肉的三元素模型提出了一种基于非线性扰动观测器的动态面控制方法, 在平稳性方面, 动态面控制的暂态性能要优于传统滑模控制, 该方法结合了动态面控制的优点, 并对系统的集总扰动进行了补偿, 提高了系统的稳定性和鲁棒性.
1.4 智能控制方法考虑到上述控制方法大都需要被控对象的具体模型, 然而由于气动人工肌肉的高非线性、强迟滞性和时变特性, 有时难以获得其较为完整的动力学模型.基于此, 国内外学者针对单气动肌肉驱动的机器人系统, 提出了一系列智能的控制方法[59-68], 如神经网络控制方法、模糊逻辑控制方法、迭代学习控制方法等, 无需系统的具体模型即可实现快速精确的定位跟踪控制.
神经网络结构具有无限逼近任意非线性函数的特性, 因此非常适用于处理具有高度非线性特性的气动人工肌肉系统.例如, Fan等[59]针对单根气动肌肉驱动的机械手, 利用一种基于多项式的气动人工肌肉现象模型, 采用反向传播(back propagation, BP)神经网络对PID控制器的参数进行在线整定, 提高了传统PID控制器的灵活性和鲁棒性.进一步地, 有文献将单气动肌肉系统的动力学视为一个灰箱模型, 采用如下的神经网络结构[61]对未知的灰箱函数进行估计:
|
(7) |
其中: ξ(x)=[ξ1(x), ξ2(x), …, ξl(x)]T为隐含层的基函数向量; W=[w1, w2, …, wl]T为输出层的权重向量; l为隐含层神经元的个数; ε为估计误差, 且存在上界.基于此, 利用反步控制技术和积分滑模面设计了鲁棒非线性控制器, 响应速度快、鲁棒性强.与上述方法不同的是, 文献[62]采用带外生输入的自回归滑动平均模型描述单气动肌肉系统复杂的非线性动力学, 利用BP神经网络逼近模型中的未知非线性函数, 先基于采样数据离线辨识模型, 再设计自适应控制器进行在线修正, 实现了良好的控制效果.此外, Huang等[63]基于一种回声状态网络(echo state network, ESN)逼近单气动肌肉系统未知非线性部分,ESN可以表示为
|
(8) |
其中: f(·)为非线性的激励函数; Vi、V、Vb、Vo分别为输入权重矩阵、内权重矩阵、前一时刻输出层到下一时刻储备池的权重矩阵以及输出权重矩阵; x(t)、u(t)、y(t)分别为储备池状态向量、输入状态向量和输出状态向量.基于此, 设计模型预测控制器, 利用梯度下降算法最小化代价函数得到最优控制信号序列.此外, Chavoshian等[64]针对单气动肌肉系统提出了一种结合动态神经网络和PID控制器的混合结构, 利用实验数据训练动态神经网络, 将积分时间绝对误差作为代价函数得到控制器的最优参数, 再通过粒子群优化算法进行优化调整, 实现了更高精度的定位跟踪控制.
与神经网络的性质类似, 模糊逻辑结构也常常用来估计气动人工肌肉系统未知的非线性动力学.例如, 文献[65]针对一种由金属氢化物驱动的单气动肌肉系统, 提出了一种自适应模糊PID控制方法, 利用模糊逻辑规则在线调整PID控制器的参数.进一步地, 文献[66]针对一类具有非线性和不确定性的单输入单输出系统, 利用模糊模型逼近系统未知非线性和不确定部分, 采用微分进化算法对模型参数进行最优辨识, 最后将所提出算法用于单气动肌肉实验平台上, 验证了其有效性和鲁棒性.进一步地, Chen等[67]基于气动人工肌肉的三元素模型, 提出了一种基于非线性扰动观测器的Takagi-Sugeno(T-S)模糊逻辑控制器, 典型的T-S模糊系统可以表示为
|
(9) |
其中: Ri为第i条规则; qh为规则的前提变量; Mhi为第i条规则前提变量的模糊集合; n为规则个数; X为系统的状态变量; Ai、Bi分别为第i条规则的状态矩阵和控制矩阵; u为控制输入.基于此, 为了补偿建模误差及系统不确定性, 在T-S模糊逻辑控制器中引入非线性扰动观测器, 实现了高精度、强鲁棒控制.
除了上述控制方法外, 为了降低单气动人工肌肉驱动机器人在实际应用中对动态不确定性的敏感性, 同时考虑到在实际应用中机器人会执行重复的操作模式(如医疗康复设备), Ai等[68]针对单气动肌肉系统, 提出了一种基于高阶伪偏导的无模型自适应迭代学习控制策略, 在迭代过程中将气动人工肌肉的动力学转换为动态线性化模型, 并设计高阶迭代学习律增强算法的收敛性.该控制方法不需要对系统建模, 完全基于输入输出数据, 在具有外部干扰的情况下仍保留了时域闭环系统的鲁棒性, 并在迭代域中实现了跟踪误差的快速收敛, 避免了气动人工肌肉驱动系统动态建模的复杂性, 实用性更强.
2 多气动肌肉驱动的机器人运动控制基于特殊的结构特性, 单根气动人工肌肉仅能提供在单一直线方向上的收缩/伸展运动.因为实际机器人通常需要实现复杂多变的控制目标, 单根肌肉远不足以实现多个自由度的运动.所以人们往往使用多根肌肉共同驱动机器人的多个关节以解决上述难题.此外, 多气动肌肉的控制方法并不是简单地从单肌肉平台移植而来, 肌肉数目的增加、肌肉之间耦合程度的加剧, 导致系统模型发生很大的变化, 需结合多肌肉的具体组合形式重新考虑控制器设计.基于此, 针对单肌肉驱动机器人控制方法的研究便逐步推广并发展至多气动肌肉驱动机器人运动控制方法的研究.针对多肌肉驱动机器人的控制方法发展至今, 已涌现不少具有创新意义的成果, 截至目前, 可大体分为传统、高级、智能三大类控制策略, 其分类准则与发展趋势可类似地参见单肌肉控制方法(如图 3所示), 本节将对此进行简要阐述.
2.1 传统控制方法为了实现复杂多变的控制任务, 机器人本身自由度相应地提高, 其机械结构设计复杂度也将大大提升; 与此同时, 气动人工肌肉数目的增加为实现机器人精准的运动控制带来挑战.在多肌肉驱动机器人控制方法研究初期, 大部分学者往往采用经典的控制策略, 如PID、PI等, 以满足简单力、位控制的基本需求[42, 43, 69-77].
早在2006年, Vanderborght等[42]便使用12根气动人工肌肉组装实现了一种双足步行机器人, 基于气动肌肉的理论模型(1)设计了经典的bang-bang控制器, 驱动机器人关节跟踪给定轨迹.经历初步尝试, 气动人工肌肉驱动的柔性机器人克服了传统刚性机器人在柔顺性方面的本质局限, 安全性更高, 促使众多学者纷纷将其应用在医疗康复领域.具体而言, Chen等[69]设计并实现了一种安全可靠、具有可控冲击响应的软机器人, 其整体由气动人工肌肉驱动, 所用气动肌肉的模型为动态特性模型(3), 控制系统采用PD控制方法实现机器人关节的轨迹跟踪.类似地, 文献[70]针对气动人工肌肉驱动的康复机器人设备, 在气动肌肉现象模型(2)的基础上, 使得拮抗肌肉对中的气压增量保持一致, 计算出多根肌肉合力的扭矩后, 结合PID反馈控制器以及前馈补偿方法(如图 5所示), 实现了良好的跟踪控制效果.为了辅助患者手部康复训练, Das等[71]设计了一种由4根气动人工肌肉驱动的可穿戴力反馈手套, 该文献采用简单的比例控制器, 即可支持手腕与前臂的屈伸、伸展、内旋及反掌运动.
|
图 5 PID反馈控制器结合前馈补偿方法示意图 |
除了在外骨骼康复领域的相关应用外, 考虑到气动人工肌肉具有良好的柔顺特性, 部分学者将其作为主要驱动元件运用在仿生/人机器人上, 以模仿其他生物/人类实现特定的控制任务.如Furukawa等[76]使用3根特制的气动肌肉缠绕设计成一种仿章鱼的主从式软机器人系统, 为了能同时测量3根肌肉的运动状态, 额外安装3个拉线编码器测量各肌肉的长度变化, 并添加2个拉线编码器测量扭转运动, 因此从传感器层次而言, 比单根肌肉驱动的机器人更加复杂.此外, 为了控制主机器人运动以实现设定点控制, 不仅需要分别控制多根肌肉的长度, 还需考虑肌肉之间耦合作用产生的扭转运动, 给所提PID反馈控制器的实际应用效果带来挑战.为了模拟握手行为, 文献[43]使用10根气动人工肌肉研制了一种握手机械手, 该机械手关节具有可变粘弹性, 采用经典的前馈控制方法驱使手指开合, 完成握手动作.此外, Okui等[77]制作了一款力反馈开盖机器人, 其由6根气动人工肌肉组成, 具有4个自由度, 同样采用了前馈控制策略实现开盖任务.
2.2 高级控制方法考虑到单根肌肉已经具有的迟滞、蠕变特性等, 由多根气动人工肌肉驱动的机器人非线性及耦合程度将进一步提高, 为精确的跟踪控制带来挑战.此外, 传统的控制策略抗扰能力有限, 再加上肌肉数目的增长带来的是参数的增加和复杂程度的提高, 难以在系统参数不确定性、未建模动态、外界扰动的影响下实现良好的控制效果.因此, 部分研究人员综合考虑多种实际条件, 提出了一系列较为高级的控制策[45, 78-86], 旨在提升系统运动控制性能及鲁棒性.具体而言, Tang等[78]针对双气动肌肉线性对抗结构, 基于现象模型(2)提出一种标称特性轨迹跟踪控制方法, 并在模型中添加加速度反馈补偿器及参考速率前馈补偿器解决了气动肌肉的低阻尼特性, 无需精确已知系统参数即可实现跟踪控制.文献[79]面向气动肌肉驱动的外骨骼机器人, 以气动肌肉现象模型(2)、表面肌电图(surface electromyography, sEMG)、回归控制器分类方法为基础, 开发了一种上肢动力控制策略, 可为穿戴者提供增强力举起负载, 实现快速、准确、舒适的人机协作.
气动人工肌肉数目的增加, 加剧了其固有的时变特性, 导致参数辨识难度增加, 考虑到工作环境的不良影响可能叠加, 部分文献引入自适应控制方法、滑模控制方法、自抗扰方法等[44, 87-99]处理系统不确定性, 抑制未知扰动的影响.如文献[87]针对4根气动肌肉共同驱动的柔性机器人, 设计了一种自适应PID控制方法, 可以在存在输入饱和约束的情况下补偿系统参数不确定性, 使其跟踪给定参考轨迹.值得一提的是, 关节扭矩的具体形式与4根肌肉的实际安装位置相关, 旋转过程中力臂会发生变化, 导致扭矩的计算十分复杂, 且多控制输入需同时考虑不同输入的饱和约束, 而单肌肉驱动的机器人则无需考虑上述难点.文献[88]为气动肌肉软手臂机器人开发了一种解耦非线性自适应控制策略, 同样是由4根肌肉驱动, 其关节扭矩的计算需要各肌肉所提供的具体压力值, 在引入气动肌肉的理论模型后, 系统模型中关节位置矢量与多根肌肉的刚度矢量相耦合, 难以同时对位置和刚度进行控制, 该控制策略需能够在刚度恒定/缓慢变化时, 处理模型不确定性带来的影响.特别地, 大部分自适应控制方法考虑的是机器人的运动学/动力学模型, 有文献则是利用概率前向模型, 给出8根气动肌肉驱动肌肉骨骼系统的全部后验分布, 在此基础上提出了一种基于高斯过程学习概率正向动力学模型的方差正则化控制方法, 具体控制律[89]如下所示:
|
(10) |
其中: Uk(t)为当前时刻的控制输入; ek+12(Uk)为均方误差ek2(t)在下一个时刻的预测值.该方法可以在执行轨迹跟踪任务的同时确保控制器始终保持在合理预测的训练数据附近.与上述方法不同的是, Yang等[90]提出了一种参数自调整的自适应控制方法, 该方法无需具体系统模型, 可以实现气动肌肉仿生肘关节的位置跟踪控制, 并且保证了其针对不同控制对象的适应性.
除了自适应控制方法外, 面对在补偿系统不确定性、提升鲁棒性上具有更高要求的多气动人工肌肉驱动的机器人, 针对其的滑模控制策略逐渐由控制单根肌肉改进至同时驱动多根肌肉运动.具体而言, Cao等[91]针对4根气动人工肌肉驱动的步态外骨骼机器人, 基于气动肌肉的现象模型提出了一种多输入多输出滑模控制方法, 该方法可以在控制步态康复外骨骼机器人角度轨迹的同时, 调整膝盖关节结构的顺应性.该机器人关节由同时负责拉伸和收缩运动的肌肉对组成, 不同肌肉的长度与关节旋转角度密切相关, 不仅需要多根肌肉的输出力来计算净扭矩, 还需同时控制多根肌肉的长度及关节角度.比起控制单肌肉驱动的机器人, 控制多根肌肉驱动的步态外骨骼机器人难度更大.类似地, 文献[92]基于气动人工肌肉的理论模型, 设计了一种自适应反步快速终端滑模控制方法, 可以实时抑制外界干扰并补偿系统不确定性带来的影响, 实现二自由度气动肌肉机器人的跟踪控制.由于传统滑模控制引入的抖振问题可能会激发不必要的震荡, 破坏系统稳定性. Dao等[93]对二自由度气动肌肉矫形装置提出一种离散时间分数阶积分滑模控制, 可以在实现轨迹跟踪的同时减轻抖振问题对系统造成的影响.
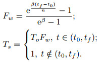
类似地, 基于干扰估计的控制方法也从针对单根肌肉发展为对多根肌肉的集总干扰进行估计.例如, Yuan等[97]针对气动肌肉驱动机器人提出一种非线性自抗扰控制策略, 为了反应采样周期的影响, 采用连续-离散时间混合的非线性状态扩展观测器(extended state observer, ESO)估计总扰动, 并且其采样差值使用的是内采样输出预测器而不是零阶保持器, 成功进行了一系列跟踪实验. Zhao等[98]基于非线性ESO和气动肌肉的理论模型, 设计了一种反馈控制策略实时估计扰动, 由于其关节由多根肌肉共同驱动, 需要事先计算雅可比矩阵求解关节转矩的具体形式, 且控制器也需同时操控4根肌肉协同运动, 对实际控制性能、系统鲁棒性提出了更高的要求.类似地, 文献[44]面向6根气动肌肉驱动的仿生鳐鱼机器人开发了一种非线性误差反馈控制器, 同样利用ESO补偿总扰动的影响, 从而实现精确的轨迹跟踪控制.由于滑模控制存在一定抖振问题, 而基于干扰估计的自抗扰控制方法估计能力有限, 有学者结合ESO和滑模控制器, 提出了一种混合相位的非线性控制方案, 然后使用极限学习机训练相位检测器区分出不同步态阶段, 为了避免步态过渡期间控制器产生突变, 设计如下切换函数[99]:
|
(11) |
其中: Fw(t)为权值函数; n为采样间隔; β为常数; Ts(t)为平滑后的输入转矩; To(t)为切换前的原始输入转矩.此外, 由于需要考虑不同步态下多根肌肉之间的相互作用, 系统模型会比单肌肉驱动的机器人更加复杂, 该方法需能同时对多根肌肉进行控制, 并识别气动肌肉下肢外骨骼机器人的步态及转矩的瞬变, 才能实现不同步态的平滑切换.
2.3 智能控制方法如前所述, 相比单根气动人工肌肉驱动的机器人, 为了解决多气动人工肌肉所带来的更加复杂的非线性与耦合性, 人们对控制系统有着更高的需求.如何精确地获得多根气动肌肉的运动学/动力学模型, 解决比单肌肉更加复杂的未建模动态与系统不确定性, 更进一步地实现高性能、强鲁棒的运动控制, 日益成为众多学者的热点研究问题.因此, 针对多气动人工肌肉驱动机器人的智能控制方法便应运而生, 如:神经网络控制方法、模糊控制方法、迭代学习控制方法等[39, 100-109].
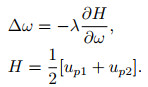
具体而言, 为了解决系统模型难以精确获得的问题, Cao等[39]针对8根气动人工肌肉操纵的下肢外骨骼机器人, 提出一种基于单层学习的预测控制策略, 该方法无需事先已知系统模型, 使用回声状态网络对动力学模型进行逼近, 从而协助患者进行被动步态训练.值得一提的是, 随着肌肉数目的增加, 机器人转矩的计算将更加复杂, 且回声状态网络的输入、输出向量维度也随之增长, 或将增加学习控制的实际计算量.部分学者同样考虑了系统模型未知的问题, 为具有高度非线性的串行气动人工肌肉机器人设计了一种自适应神经网络顺应力/位置控制方法.与此同时, 设计如下更新率[100]:
|
(12) |
其中: Δ ω(t)为权值ω(t)的变化量, up1(t)、up2(t)分别为两个反馈控制器的调节值, λ为学习因子.基于更新律(12), 该方法可以在线更新神经网络权值, 提高其在未知干扰条件下的顺应力/位置输出性能.除了神经网络可以训练出系统模型外, 迭代学习方法同样不依赖于具体模型形式而实现.如Wang等[101]针对二自由度机械臂, 研发了一种基于自适应迭代学习的阻抗控制策略, 其可在系统参数未知的情况下, 通过先验信息不断迭代获得期望输出轨迹, 实现精确的位置跟踪, 同时维持机器人手臂的稳定性.
尽管一些高级的控制策略, 如自适应控制等可以补偿系统参数不确定性, 但是传统自适应控制方案适用的未知项形式是有限的, 面对肌肉数目更多、复杂程度更高的机器人, 难以对其未知函数进行处理.考虑到模糊算法、神经网络方法等已经在单肌肉驱动的机器人中得到了应用, 人们将其进行优化, 使其可同时处理多根肌肉的运动, 进一步地提高系统的稳定性与鲁棒性.具体而言, 文献[102]针对由6根气动肌肉驱动的二自由度机械臂, 提出一种自适应模糊反步控制方法, 由于6根肌肉长度不一、交错安装, 使其几何结构更加复杂, 相比于单肌肉驱动机器人, 动力学建模难度增加.此外, 肌肉数目的增多也会导致模糊输入变量的增加, 模糊增益矩阵维数也会相应提高, 该方法需在参数未知、未知扰动的影响下, 更好地处理参数不确定性, 跟踪期望轨迹, 辅助患者进行上肢康复训练. Robinson等[103]设计并改进了自适应神经网络控制方法, 该网络对未知项Ω(ϕ)的逼近函数为
|
(13) |
其中: N为总节点个数, a为节点之间的比例因子, 
除了上述方法外, 部分文献考虑利用生物启发算法实现多气动肌肉驱动机器人的运动控制.如Ide等[104]设计了一种非对称拮抗驱动型手指机器人, 为了计算手指肌肉的协调性, 需要分别计算不同指关节拮抗肌比例及活性, 不同关节肌肉数目的差别导致其合力计算形式有所不同.肌肉数目的增加不仅使其模型形式更加复杂, 还将给协调控制带来挑战.因此, Ide等[104]提出一种利用吸引子选择的控制方法, 该方法属于生物启发的搜索算法, 可以实现手指机器人的协调控制.文献[105]提出一种基于粒子群算法的自适应多目标优化方法, 利用加权和法将多目标优化问题转化为单目标优化问题, 从而实现气动肌肉驱动六自由度仿生肩关节的运动控制.
3 总结与展望气动人工肌肉作为一种新型驱动器, 因其柔顺性好、安全性高、环境适应性强等优点日益受到国内外广大学者的关注.纵观气动人工肌肉的发展历史, 近年来针对其动力学建模和控制方法的研究取得了较大的进展.本节将对其进行简要总结, 并对气动肌肉驱动的机器人未来在控制研究方面的发展趋势进行展望.
3.1 总结单气动肌肉驱动的机器人自由度低、机械结构相对简单, 学者们首先对其运动控制问题展开研究.之后为了实现多自由度运动, 学者们采用多根气动肌肉共同驱动机器人多个关节, 大大提高了机器人的灵活性和实用性.由此, 单气动肌肉驱动机器人控制方法的研究逐步推广并发展至多气动肌肉驱动机器人, 涌现了一系列具有创新意义和应用价值的研究成果.
3.2 展望气动人工肌肉作为一种清洁安全、柔顺性好的仿生驱动器, 为仿生机器人产业开辟了全新的发展空间, 由其驱动的柔性机器人克服了传统刚性机器人在柔顺性方面的本质局限, 未来会在航空航天、水下作业、抢险救灾、医疗康复、家用机器人等多个领域具有广阔的应用前景.然而, 由于气动人工肌肉具有高度非线性、时变性、迟滞性、蠕变性等, 为其驱动的仿生软体机器人的运动控制研究带来了巨大的挑战, 虽然目前已取得了一些研究成果, 但是依旧存在很多亟待解决的难题, 为了使其日后更好地应用在人类生产生活中, 本文多方位地考虑了多个应用场景下的控制难点, 将该领域控制研究的发展方向大致归结为以下几个要点, 未来该领域的控制研究可以从以下几个方面深入展开, 助推该领域更好地发展:
1) 高频运动下的稳定控制.
由于气动人工肌肉固有的迟滞、蠕变等特性, 高频运动使惯性和阻尼在动力学中发挥更大的作用, 且易激发额外的高频动力学, 破环系统稳定性, 实现其在高频运动下的稳定控制是非常困难的.目前气动人工肌肉驱动的机器人大多采用较低的运动频率, 然而在实际作业环境中, 为了提高作业效率, 机器人的运动频率不能过低, 若始终保持低频运动则难以满足大多数作业要求.因此, 实现气动人工肌肉驱动机器人在高频运动下的稳定控制是未来该领域的研究方向之一.
2) 高阶扰动补偿的鲁棒控制.
气动人工肌肉由其内部的高压缩气体驱动, 导致其对环境中的噪声特别敏感, 而在复杂恶劣的作业环境中, 例如抢险救灾领域, 不可避免地存在多种未知的外界扰动, 并且扰动往往持续多变, 严重破坏系统稳定性.然而, 目前该领域提出的一些抗扰控制方法普遍假设扰动恒定, 或者扰动变化率非常缓慢的情况, 这类方法在复杂的作业环境中实际应用效果将大打折扣.在未来, 观测和补偿高阶扰动及其导数, 提高气动人工肌肉驱动机器人的鲁棒性和环境适应性是一个重点的研究方向.
3) 考虑负载变化的迟滞补偿控制.
考虑到气动人工肌肉固有的迟滞特性, 该领域常用的一类控制方法是:先对其进行迟滞建模作为前馈补偿器, 再结合反馈控制器实现控制任务.值得注意的是, 当气动人工肌肉末端负载发生变化时, 气动人工肌肉的气压位移迟滞特性将随之受到一定的影响.例如, 在实际应用中, 机器人会进行抓取运放的作业任务, 末端负载实时发生变化, 导致离线的迟滞模型难以准确地进行前馈补偿, 从而大大降低系统的控制精度.目前该问题并没有得到有效地解决, 未来对于一类基于前馈迟滞补偿的控制方法, 解决负载变化时稳定准确的运动控制是一个重点的研究方向.
4) 考虑力和刚度的柔顺控制.
气动人工肌肉自身可提供十分巨大的输出力, 例如一根标称长度60 mm、内径20 mm的气动人工肌肉足以提供1 500 N的拉力, 考虑到人机交互的过程中, 例如医疗康复领域, 如果不对接触力加以精确控制, 则会存在非常大的安全隐患.再如操纵机器人完成一些精密任务时, 需要满足输出力合适且位置准确的双重需求, 然而在该领域中, 同时考虑力和刚度的控制研究还较少.因此, 实现精准位置控制的同时, 考虑机器人的力控制和刚度控制, 并且与一些智能控制方法相结合, 实现智能化程度更高的阻抗控制、力位混合控制以及位置刚度控制是该领域一个非常具有发展前景的研究方向.
5) 考虑人机协同的共享控制.
机器人在生产生活中完成各种作业任务往往离不开人的操控和监管, 但目前一个操作员通常仅能操控一个机器人, 对人力资源要求高, 且作业效率受限.未来在一些大型的作业环境中, 多台机器人共同作业的需求将越来越突出, 例如救援救灾领域.然而气动人工肌肉驱动机器人的现有控制方法存在适用场景有限、控制指令单一等问题, 为突破这些瓶颈, 如何结合实时场景与先验信息, 实现人与机器人、机器人与机器人之间的协同共享控制, 打破人机一对一格局, 也将会成为未来该领域的一个研究热点.
南开大学欠驱动系统实验室依托于南开大学人工智能学院机器人与信息自动化研究所、天津市智能机器人技术重点实验室, 在国家重点研发计划、国家自然科学基金等项目的支持下, 围绕欠驱动机器人/吊车、气动肌肉机器人、特种作业环境下的工业机器人的智能控制问题开展了较深入的研究, 在Automatica及IEEE汇刊上发表了一系列学术论文, 多篇(曾)入选ESI热点或高被引论文.重视合作研究, 与中国科学院沈阳自动化研究所等保持着良好的合作关系.注重理论与实际结合, 与多家企业开展合作.基于这些成果, 获得了吴文俊人工智能优秀青年奖、天津市自然科学一等奖、天津市专利金奖、吴文俊人工智能自然科学一等奖等奖励, 并入选了2019中国智能制造十大科技进展.在孙宁博士的指导下, 相应的学生团队获得了中国“互联网+”大学生创新创业大赛全国总决赛高教主赛道金奖、第十五届“挑战杯”全国大学生课外学术科技作品竞赛一等奖、大学生“小平科技创新团队”、“中国青少年科技创新奖”等奖项.
| [1] |
Cheng L, Liu W C, Hou Z G, et al. An adaptive Takagi-sugeno fuzzy model-based predictive controller for piezoelectric actuators[J]. IEEE Transactions on Industrial Electronics, 2017, 64(4): 3048-3058. DOI:10.1109/TIE.2016.2644603 |
| [2] |
朱雪枫, 王建辉, 方晓柯, 等. 非线性迭代学习算法在机器人上肢康复中的应用[J]. 控制与决策, 2016, 31(7): 1325-1329. (Zhu X F, Wang J H, Fang X K, et al. Nonlinear iterative learning algorithm and its application in upper limb rehabilitation[J]. Control and Decision, 2016, 31(7): 1325-1329.) |
| [3] |
郭书祥, 孙珊, 郭健. 新型仿生水下子母机器人系统设计[J]. 控制与决策, 2019, 34(5): 1004-1010. (Guo S X, Sun S, Guo J. Design of a novel biomimetic underwater mother-son robot system[J]. Control and Decision, 2019, 34(5): 1004-1010.) |
| [4] |
Tao X L, Yi J Q, Pu Z Q, et al. State-estimator-integrated robust adaptive tracking control for flexible air-breathing hypersonic vehicle with noisy measurements[J]. IEEE Transactions on Instrumentation and Measurement, 2019, 68(11): 4285-4299. DOI:10.1109/TIM.2018.2887068 |
| [5] |
金英连, 王斌锐, 吴善强, 等. 形状记忆合金丝编织网气动肌肉机构及其阻抗控制[J]. 控制与决策, 2011, 26(10): 1577-1580. (Jin Y L, Wang B R, Wu S Q, et al. Mechanism and impedance control of pneumatic muscle with shape memory alloy braided sleeve[J]. Control and Decision, 2011, 26(10): 1577-1580.) |
| [6] |
Zhang J, Sheng J, O'Neill C T, et al. Robotic artificial muscles: Current progress and future perspectives[J]. IEEE Transactions on Robotics, 2019, 35(3): 761-781. DOI:10.1109/TRO.2019.2894371 |
| [7] |
刘福才, 贾晓菁, 刘林, 等. 气动加载系统的建模及非线性自抗扰控制[J]. 控制与决策, 2017, 32(5): 906-912. (Liu F C, Jia X J, Liu L, et al. Pneumatic loading system modeling and nonlinear active disturbance rejection control[J]. Control and Decision, 2017, 32(5): 906-912.) |
| [8] |
隋立明, 张立勋. 气动技术在康复领域中的应用[J]. 液压气动与密封, 2006, 26(4): 33-35. (Sui L M, Zhang L X. The application of pneumatics in rehabilitation[J]. Hydraulics Pneumatics & Seals, 2006, 26(4): 33-35. DOI:10.3969/j.issn.1008-0813.2006.04.013) |
| [9] |
Cveticanin L, Zukovic M, Biro I, et al. Mathematical investigation of the stability condition and steady state position of a pneumatic artificial muscle-mass system[J]. Mechanism and Machine Theory, 2018, 125: 196-206. DOI:10.1016/j.mechmachtheory.2018.03.010 |
| [10] |
胡增荣, 沈爱军. 气动肌肉的研究与应用概述[J]. 液压气动与密封, 2009, 29(5): 15-20. (Hu Z R, Shen A J. Overview of application and research of pneumatic muscle actuator[J]. Hydraulics Pneumatics & Seals, 2009, 29(5): 15-20. DOI:10.3969/j.issn.1008-0813.2009.05.006) |
| [11] |
陶国良, 谢建蔚, 周洪. 气动人工肌肉的发展趋势与研究现状[J]. 机械工程学报, 2009, 45(10): 75-83. (Tao G L, Xie J W, Zhou H. Research achievements and development trends of pneumatic artificial muscles[J]. Journal of Mechanical Engineering, 2009, 45(10): 75-83.) |
| [12] |
范伟, 彭光正, 黄雨. 气动人工肌肉驱动器的研究现状及发展趋势[J]. 机床与液压, 2003, 31(1): 32-36. (Fan W, Peng G Z, Huang Y. Pneumatic muscle actuator[J]. Machine Tool & Hydraulics, 2003, 31(1): 32-36. DOI:10.3969/j.issn.1001-3881.2003.01.009) |
| [13] |
谢胜龙, 梅江平, 刘海涛. McKibben型气动人工肌肉研究进展与趋势[J]. 计算机集成制造系统, 2018, 24(5): 1065-1080. (Xie S L, Mei J P, Liu H T. Achievements and trends of research on McKibben pneumatic artificial muscles[J]. Computer Integrated Manufacturing Systems, 2018, 24(5): 1065-1080.) |
| [14] |
彭贺, 刘洪波. 气动驱动器种类及特点[J]. 吉林化工学院学报, 2017, 34(3): 56-58. (Peng H, Liu H B. Types and characteristics of pneumatic actuator[J]. Journal of Jilin Institute of Chemical Technology, 2017, 34(3): 56-58.) |
| [15] |
Verrelst B, Ham R V, Vanderborght B, et al. The pneumatic biped "Lucy" actuated with pleated pneumatic artificial muscles[J]. Autonomous Robots, 2005, 18(2): 201-213. DOI:10.1007/s10514-005-0726-x |
| [16] |
Tomori H, Hiyoshi K, Kimura S, et al. A self-deformation robot design incorporating bending-type pneumatic artificial muscles[J]. Technologies, 2019, 7(3): 51. DOI:10.3390/technologies7030051 |
| [17] |
王雄耀. 介绍一种气动新产品——仿生气动肌肉腱[J]. 液压气动与密封, 2002, 22(1): 31-35. (Wang X Y. Introduction to a new product-muscle actuator sinale (MAS)[J]. Hydraulics Pneumatics & Seals, 2002, 22(1): 31-35. DOI:10.3969/j.issn.1008-0813.2002.01.011) |
| [18] |
Lee H J, Lee K H, Lee Y M, et al. A bundled staggering patterned pneumatic muscle actuator for improved working efficiency[J]. Journal of Mechanical Science and Technology, 2019, 33(10): 4981-4989. DOI:10.1007/s12206-019-0937-2 |
| [19] |
梁定坤, 孙宁, 吴易鸣, 等. 采用扰动估计的气动人工肌肉系统非线性控制[J]. 控制理论与应用, 2019, 36(11): 1912-1919. (Liang D K, Sun N, Wu Y M, et al. Nonlinear control for pneumatic artificial muscle systems with disturbance estimation[J]. Control Theory & Applications, 2019, 36(11): 1912-1919. DOI:10.7641/CTA.2019.90497) |
| [20] |
Robinson R M, Kothera C S, Wereley N M. Variable recruitment testing of pneumatic artificial muscles for robotic manipulators[J]. IEEE / ASME Transactions on Mechatronics, 2015, 20(4): 1642-1652. DOI:10.1109/TMECH.2014.2341660 |
| [21] |
Wakimoto S, Misumi J, Suzumori K. New concept and fundamental experiments of a smart pneumatic artificial muscle with a conductive fiber[J]. Sensors and Actuators A: Physical, 2016, 250: 48-54. DOI:10.1016/j.sna.2016.08.004 |
| [22] |
Zheng H, Wu M L, Shen X R. Pneumatic variable series elastic actuator[J]. Journal of Dynamic Systems, Measurement, and Control, 2016, 138(8): 081011(1-10). |
| [23] |
Daerden F, Lefeber D. Pneumatic artificial muscles: Actuators for robotics and automation[J]. European Journal of Mechanical and Environmental Engineering, 2002, 47(1): 11-21. |
| [24] |
李满宏, 马艳悦, 张明路. 仿生柔性关节关键技术综述[J]. 机械设计, 2018, 35(11): 1-9. (Li M H, Ma Y Y, Zhang M L. Review on the key technology of bionic flexible joint[J]. Journal of Machine Design, 2018, 35(11): 1-9.) |
| [25] |
Zhang D H, Zhao X A, Han J D. Active model-based control for pneumatic artificial muscle[J]. IEEE Transactions on Industrial Electronics, 2017, 64(2): 1686-1695. DOI:10.1109/TIE.2016.2606080 |
| [26] |
Felt W, Chin K Y, Remy C D. Contraction sensing with smart braid McKibben muscles[J]. IEEE / ASME Transactions on Mechatronics, 2016, 21(3): 1201-1209. DOI:10.1109/TMECH.2015.2493782 |
| [27] |
谢胜龙, 刘海涛, 梅江平. 气动人工肌肉迟滞-蠕变特性研究现状与进展[J]. 系统仿真学报, 2018, 30(3): 809-823. (Xie S L, Liu H T, Mei J P. Achievements and developments of hysteresis and creep of pneumatic artificial muscles[J]. Journal of System Simulation, 2018, 30(3): 809-823.) |
| [28] |
王琦珑, 王伟, 郝大贤, 等. 编织型气动人工肌肉迟滞现象建模与应用[J]. 机械工程学报, 2019, 55(21): 73-80. (Wang Q L, Wang W, Hao D X, et al. Hysteresis modeling and application of Mckibben pneumatic artificial muscles[J]. Journal of Mechanical Engineering, 2019, 55(21): 73-80.) |
| [29] |
Caldwell D G, Medrano-Cerda G A, Goodwin M J. Braided pneumatic actuator control of a multi-jointed manipulator[C]. Proceedings of the IEEE Systems, Man, and Cybernetics Conference. Le Touquet: IEEE, 1993, 1: 423-428.
|
| [30] |
Caldwell D G, Medrano-Cerda G A, Goodwin M J. Control of pneumatic muscle actuators[J]. IEEE Control Systems Magazine, 1995, 15(1): 40-48. DOI:10.1109/37.341863 |
| [31] |
Versluys R, Deckers K, Van Damme M, et al. A study on the bandwidth characteristics of pleated pneumatic artificial muscles[J]. Applied Bionics and Biomechanics, 2009, 6(1): 3-9. DOI:10.1155/2009/298125 |
| [32] |
Obiajulu S C, Roche E T, Pigula F A, et al. Soft pneumatic artificial muscles with low threshold pressures for a cardiac compression device[C]. Proceedings of the ASME 2013 International Design Engineering Technical Conferences and Computers and Information in Engineering Conference. Portland: ASME, 2013: 1-8.
|
| [33] |
Van Damme M, Beyl P, Vanderborght B, et al. Modeling hysteresis in pleated pneumatic artificial muscles[C]. Proceedings of the 2008 IEEE Conference on Robotics, Automation and Mechatronics. Chengdu: IEEE, 2008: 471-476.
|
| [34] |
姜忠爱, 郜颖. 气动人工肌肉动静态性能模型分析研究[J]. 佳木斯大学学报:自然科学版, 2015, 33(6): 851-854. (Jiang Z A, Gao Yin. Dynamic and static mathematical model analysis of pneumatic artificial muscle[J]. Journal of Jiamusi University: Natural Science Edition, 2015, 33(6): 851-854. DOI:10.3969/j.issn.1008-1402.2015.06.018) |
| [35] |
郑安宾, 金健, 李增书. McKibben气动肌肉数学模型的发展[J]. 液压气动与密封, 2010, 30(12): 5-8. (Zheng A B, Jin J, Li Z S. McKibben pneumatic muscle mathematical modeling development[J]. Hydraulics Pneumatics & Seals, 2010, 30(12): 5-8. DOI:10.3969/j.issn.1008-0813.2010.12.003) |
| [36] |
Reynolds D B, Repperger D W, Phillips C A, et al. Modeling the dynamic characteristics of pneumatic muscle[J]. Annals of Biomedical Engineering, 2003, 31(3): 310-317. DOI:10.1114/1.1554921 |
| [37] |
Rodrigo S E, Lescano C N, Patiño H D. A new global model to characterise the dynamics of a pneumatic proportional-pressure valve for a biomechatronic application[J]. Journal of the Brazilian Society of Mechanical Sciences and Engineering, 2017, 39(1): 195-206. DOI:10.1007/s40430-016-0591-x |
| [38] |
Minh T V, Kamers B, Ramon H, et al. Modeling and control of a pneumatic artificial muscle manipulator joint, Part I: Modeling of a pneumatic artificial muscle manipulator joint with accounting for creep effect[J]. Mechatronics, 2012, 22(7): 923-933. DOI:10.1016/j.mechatronics.2012.06.002 |
| [39] |
Cao Y, Huang J, Xiong C H. Single-layer learning based predictive control with echo state network for pneumatic muscle actuators-driven exoskeleton[J]. IEEE Transactions on Cognitive and Developmental Systems, 2020. DOI:10.1109/TCDS.2020.2968733 |
| [40] |
Ashwin K P, Ghosal A. Static modeling of miniaturized pneumatic artificial muscles, kinematic analysis and experiments on an endoscopic end-effector[J]. IEEE / ASME Transactions on Mechatronics, 2019, 24(4): 1429-1439. DOI:10.1109/TMECH.2019.2916783 |
| [41] |
Wang D M, Wang Y K, Zi B, et al. Development of an active and passive finger rehabilitation robot using pneumatic muscle and magnetorheological damper[J]. Mechanism and Machine Theory, 2020, 147: 103762(1-16). |
| [42] |
Vanderborght B, Verrelst B, Ham R V, et al. Controlling a bipedal walking robot actuated by pleated pneumatic artificial muscles[J]. Robotica, 2006, 24(4): 401-410. DOI:10.1017/S0263574705002316 |
| [43] |
Dai K J, Liu Y G, Okui M, et al. Variable viscoelasticity handshake manipulator for physical human-robot interaction using artificial muscle and MR brake[J]. Smart Materials and Structures, 2019, 28(6): 064002(1-10). |
| [44] |
Cheng H Y, Li D H, Zhang J H, et al. Nonlinear error feedback positioning control for a pneumatic soft bionic fin via an extended state observer[J]. IEEE Access, 2020, 8: 12688-12696. DOI:10.1109/ACCESS.2020.2966037 |
| [45] |
Lenz A, Anderson S R, Pipe A G, et al. Cerebellar-inspired adaptive control of a robot eye actuated by pneumatic artificial muscles[J]. IEEE Transactions on Systems, Man, and Cybernetics, Part B: Cybernetics, 2009, 39(6): 1420-1433. DOI:10.1109/TSMCB.2009.2018138 |
| [46] |
Andrikopoulos G, Nikolakopoulos G, Arvanitakis I, et al. Piecewise affine modeling and constrained optimal control for a pneumatic artificial muscle[J]. IEEE Transactions on Industrial Electronics, 2014, 61(2): 904-916. DOI:10.1109/TIE.2013.2254094 |
| [47] |
Liu Y X, Zang X Z, Lin Z K, et al. Position control of a bio-inspired semi-active joint with direct inverse hysteresis modeling and compensation[J]. Advances in Mechanical Engineering, 2016, 8(11): 1-8. |
| [48] |
Xie S L, Liu H T, Mei J P, et al. Modeling and compensation of asymmetric hysteresis for pneumatic artificial muscles with a modified generalized Prandtl-Ishlinskii model[J]. Mechatronics, 2018, 52: 49-57. DOI:10.1016/j.mechatronics.2018.04.001 |
| [49] |
Minh T V, Tjahjowidodo T, Ramon H, et al. Cascade position control of a single pneumatic artificial muscle-mass system with hysteresis compensation[J]. Mechatronics, 2010, 20(3): 402-414. DOI:10.1016/j.mechatronics.2010.03.001 |
| [50] |
Sun N, Liang D K, Wu Y M, et al. Adaptive control for pneumatic artificial muscle systems with parametric uncertainties and unidirectional input constraints[J]. IEEE Transactions on Industrial Informatics, 2020, 16(2): 969-979. DOI:10.1109/TII.2019.2923715 |
| [51] |
Lilly J H. Adaptive tracking for pneumatic muscle actuators in bicep and tricep configurations[J]. IEEE Transactions on Neural Systems and Rehabilitation Engineering, 2003, 11(3): 333-339. DOI:10.1109/TNSRE.2003.816870 |
| [52] |
Zhu L J, Shi X Y, Chen Z Y, et al. Adaptive servomechanism of pneumatic muscle actuators with uncertainties[J]. IEEE Transactions on Industrial Electronics, 2017, 64(4): 3329-3337. DOI:10.1109/TIE.2016.2573266 |
| [53] |
Slightam J E, Nagurka M L. Modeling of pneumatic artificial muscle with kinetic friction and sliding mode control[C]. Proceedings of the Annual American Control Conference. Milwaukee: IEEE, 2018: 3342-3347.
|
| [54] |
Zhao W, Song A G, Cao Y. An extended proxy-based sliding mode control of pneumatic muscle actuators[J]. Applied Sciences, 2019, 9(8): 1571(1-12). |
| [55] |
Ba D X, Ahn K K. A robust time-delay nonlinear controller for a pneumatic artificial muscle[J]. International Journal of Precision Engineering and Manufacturing, 2018, 19(1): 23-30. DOI:10.1007/s12541-018-0003-5 |
| [56] |
Huang G Q, Li A T, Yu J. Active disturbance rejection control for pneumatic artificial muscle driven by fast switching on/off solenoid valve[C]. Proceedings of the 5th International Conference on Control, Automation and Robotics. Beijing: IEEE, 2019: 352-356.
|
| [57] |
Xing K X, Huang J, Wang Y J, et al. Tracking control of pneumatic artificial muscle actuators based on sliding mode and non-linear disturbance observer[J]. IET Control Theory and Applications, 2010, 4(10): 2058-2070. DOI:10.1049/iet-cta.2009.0555 |
| [58] |
Wu J, Huang J, Wang Y J, et al. Nonlinear disturbance observer-based dynamic surface control for trajectory tracking of pneumatic muscle system[J]. IEEE Transactions on Control Systems Technology, 2014, 22(2): 440-455. DOI:10.1109/TCST.2013.2262074 |
| [59] |
Fan J Z, Zhong J, Zhao J, et al. BP neural network tuned PID controller for position tracking of a pneumatic artificial muscle[J]. Technology and Health Care, 2015, 23(S2): 231-238. DOI:10.3233/THC-150958 |
| [60] |
Chen Y H, Sun N, Liang D K, et al. A neuroadaptive control method for pneumatic artificial muscle systems with hardware experiments[J]. Mechanical Systems and Signal Processing, 2021, 146: 106976(1-15). |
| [61] |
Ba D X, Dinh T Q, Ahn K K. An integrated intelligent nonlinear control method for a pneumatic artificial muscle[J]. IEEE / ASME Transactions on Mechatronics, 2016, 21(4): 1835-1845. DOI:10.1109/TMECH.2016.2558292 |
| [62] |
Zhong J, Zhou X, Luo M Z. A new approach to modeling and controlling a pneumatic muscle actuator-driven setup using back propagation neural networks[J]. Complexity, 2018, 2018(19): 4160504(1-9). |
| [63] |
Huang J, Cao Y, Xiong C H, et al. An echo state gaussian process-based nonlinear model predictive control for pneumatic muscle actuators[J]. IEEE Transactions on Automation Science and Engineering, 2019, 16(3): 1071-1084. DOI:10.1109/TASE.2018.2867939 |
| [64] |
Chavoshian M, Taghizadeh M, Mazare M. Hybrid dynamic neural network and PID control of pneumatic artificial muscle using the PSO algorithm[J]. International Journal of Automation and Computing, 2020, 17(3): 428-438. DOI:10.1007/s11633-019-1196-5 |
| [65] |
Nuchkrua T, Leephakpreeda T, Chen S L. Experimental validation for fuzzy control of servo pneumatic artificial muscle driven by metal hydride[J]. International Journal of Fuzzy Systems, 2016, 18(6): 956-970. DOI:10.1007/s40815-016-0228-3 |
| [66] |
Kien C V, Son N N, Anh H P H. Adaptive fuzzy sliding mode control for nonlinear uncertain SISO system optimized by differential evolution algorithm[J]. International Journal of Fuzzy Systems, 2019, 21(3): 755-768. DOI:10.1007/s40815-018-0558-4 |
| [67] |
Chen C, Huang J, Wu D R. Nonlinear disturbance observer based T-S fuzzy logic control of pneumatic artificial muscles[C]. Proceedings of the 2019 IEEE 4th International Conference on Advanced Robotics and Mechatronics. Toyonaka: IEEE, 2019: 12-17.
|
| [68] |
Ai Q S, Ke D, Zuo J, et al. High-order model-free adaptive iterative learning control of pneumatic artificial muscle with enhanced convergence[J]. IEEE Transactions on Industrial Electronics. DOI:10.1109/TIE.2019.2952810 |
| [69] |
Chen X J, Yi J, Li J, et al. Soft-actuator-based robotic joint for safe and forceful interaction with controllable impact response[J]. IEEE Robotics and Automation Letters, 2018, 3(4): 3505-3512. DOI:10.1109/LRA.2018.2854409 |
| [70] |
Merola A, Colacino D, Cosentino C, et al. Model-based tracking control design, implementation of embedded digital controller and testing of a biomechatronic device for robotic rehabilitation[J]. Mechatronics, 2018, 52: 70-77. DOI:10.1016/j.mechatronics.2018.04.006 |
| [71] |
Das S, Kishishita Y, Tsuji T, et al. ForceHand glove: A wearable force-feedback glove with pneumatic artificial muscles (PAMs)[J]. IEEE Robotics and Automation Letters, 2018, 3(3): 2416-2423. DOI:10.1109/LRA.2018.2813403 |
| [72] |
Ugurlu B, Forni P, Doppmann C, et al. Stable control of force, position, and stiffness for robot joints powered via pneumatic muscles[J]. IEEE Transactions on Industrial Informatics, 2019, 15(12): 6270-6279. DOI:10.1109/TII.2019.2916228 |
| [73] |
Saba D B, Massioni P, Bideaux E, et al. Flatness-based control of a two degrees-of-freedom platform with pneumatic artificial muscles[J]. Journal of Dynamic Systems, Measurement, and Control, 2019, 141(2): 021003(1-10). |
| [74] |
Tiziani L O, Hammond Ⅲ F L. Optical sensor-embedded pneumatic artificial muscle for position and force estimation[J]. Soft Robotics, 2020, 7(4): 462-477. DOI:10.1089/soro.2019.0019 |
| [75] |
Li X A, Sun K, Guo C Q, et al. Design, modeling and characterization of a joint for inflatable robotic arms[J]. Mechatronics, 2020, 65: 102311(1-13). |
| [76] |
Furukawa S, Wakimoto S, Kanda T, et al. A soft master-slave robot mimicking octopus arm structure using thin artificial muscles and wire encoders[J]. Actuators, 2019, 8(2): 40(1-13). |
| [77] |
Okui M, Kobayashi M, Yamada Y, et al. Delta-type four-DOF force-feedback device composed of pneumatic artificial muscles and magnetorheological clutch and its application to lid opening[J]. Smart Materials and Structures, 2019, 28(6): 064003(1-11). |
| [78] |
Tang T F, Chong S H, Nor R M, et al. Practical control strategy for positioning control of pneumatic artificial muscles driven stage: Improved NTCF control[J]. IEEE Access, 2019, 7: 85513-85524. DOI:10.1109/ACCESS.2019.2922383 |
| [79] |
Liu H, Tao J, Lyu P, et al. Human-robot cooperative control based on sEMG for the upper limb exoskeleton robot[J]. Robotics and Autonomous Systems, 2020, 125: 103350(1-13). |
| [80] |
Dao Q T, Yamamoto S I. Adaptive impedance control of a robotic orthosis actuated by pneumatic artificial muscle[J]. IFMBE Proceedings. Singapore: Springer, 2019: 631-636.
|
| [81] |
Wache A, Aschemann H. Extended linearisation control approaches for a high-speed linear axis with pneumatic muscles[J]. IFAC-Papers OnLine, 2019, 52(16): 568-573. DOI:10.1016/j.ifacol.2019.12.022 |
| [82] |
Sun T, Chen Y L, Han T Y, et al. A soft gripper with variable stiffness inspired by pangolin scales, toothed pneumatic actuator and autonomous controller[J]. Robotics and Computer Integrated Manufacturing, 2020, 61: 101848(1-12). |
| [83] |
Watanabe E, Hirai H, Krebs H I. Equilibrium point-based control of muscle-driven anthropomorphic legs reveals modularity of human motor control during pedalling[J]. Advanced Robotics, 2020, 34(5): 328-342. DOI:10.1080/01691864.2019.1708790 |
| [84] |
Yu R, Cai J P, Wang B R, et al. Angle tracking adaptive backstepping control for a pneumatic artificial muscle antagonistic joint[C]. Proceedings of the 2019 Chinese Automation Congress. Hangzhou: IEEE, 2019: 2532-2536.
|
| [85] |
Vo C P, To X D, Ahn K K. A novel adaptive gain integral terminal sliding mode control scheme of a pneumatic artificial muscle system with time-delay estimation[J]. IEEE Access, 2019, 7: 141133-141143. DOI:10.1109/ACCESS.2019.2944197 |
| [86] |
Ohta P, Valle L, King J, et al. Design of a lightweight soft robotic arm using pneumatic artificial muscles and inflatable sleeves[J]. Soft Robotics, 2018, 5(2): 204-215. DOI:10.1089/soro.2017.0044 |
| [87] |
Behn C, Siedler K. Adaptive PID-tracking control of muscle-like actuated compliant robotic systems with input constraints[J]. Applied Mathematical Modelling, 2019, 67: 9-21. DOI:10.1016/j.apm.2018.10.012 |
| [88] |
Trumić M, Jovanović K, Fagiolini A. Decoupled nonlinear adaptive control of position and stiffness for pneumatic soft robots[J]. The International Journal of Robotics Research, 2020. DOI:10.1177/0278364920903787 |
| [89] |
Büchler D, Calandra R, Schölkopf B, et al. Control of musculoskeletal systems using learned dynamics models[J]. IEEE Robotics and Automation Letters, 2018, 3(4): 3161-3168. DOI:10.1109/LRA.2018.2849601 |
| [90] |
Yang H, Xiang C Q, Hao L N, et al. Research on PSA-MFAC for a novel bionic elbow joint system actuated by pneumatic artificial muscles[J]. Journal of Mechanical Science and Technology, 2017, 31(7): 3519-3529. DOI:10.1007/s12206-017-0640-0 |
| [91] |
Cao J H, Xie S Q, Das R. MIMO sliding mode controller for gait exoskeleton driven by pneumatic muscles[J]. IEEE Transactions on Control Systems Technology, 2018, 26(1): 274-281. DOI:10.1109/TCST.2017.2654424 |
| [92] |
Khajehsaeid H, Esmaeili B, Soleymani R, et al. Adaptive back stepping fast terminal sliding mode control of robot manipulators actuated by pneumatic artificial muscles: Continuum modelling, dynamic formulation and controller design[J]. Meccanica, 2019, 54(8): 1203-1217. DOI:10.1007/s11012-019-01012-4 |
| [93] |
Dao Q T, Nguyen M L, Yamamoto S I. Discrete-time fractional order integral sliding mode control of an antagonistic actuator driven by pneumatic artificial muscles[J]. Applied Sciences, 2019, 9(12): 2503(1-17). |
| [94] |
Zhao L, Liu X, Wang T. Observer-based nonlinear decoupling control for two-joint manipulator systems driven by pneumatic artificial muscles[J]. Journal of Dynamic Systems, Measurement, and Control, 2020, 142(4): 041001(1-9). |
| [95] |
Yang H J, Yu Y, Zhang J H. Angle tracking of a pneumatic muscle actuator mechanism under varying load conditions[J]. Control Engineering Practice, 2017, 61: 1-10. DOI:10.1016/j.conengprac.2017.01.008 |
| [96] |
Yuan Y, Yu Y, Wang Z D, et al. A sampled-data approach to nonlinear ESO-based active disturbance rejection control for pneumatic muscle actuator systems with actuator saturations[J]. IEEE Transactions on Industrial Electronics, 2019, 66(6): 4608-4617. DOI:10.1109/TIE.2018.2864711 |
| [97] |
Yuan Y, Yu Y, Guo L. Nonlinear active disturbance rejection control for the pneumatic muscle actuators with discrete-time measurements[J]. IEEE Transactions on Industrial Electronics, 2019, 66(3): 2044-2053. DOI:10.1109/TIE.2018.2838061 |
| [98] |
Zhao L, Liu X, Wang T. Trajectory tracking control for double-joint manipulator systems driven by pneumatic artificial muscles based on a nonlinear extended state observer[J]. Mechanical Systems and Signal Processing, 2019, 122: 307-320. DOI:10.1016/j.ymssp.2018.12.016 |
| [99] |
Chen L L, Wang C, Wang J, et al. Design of hybrid phase sliding mode control scheme for lower extremity exoskeleton[J]. Applied Sciences, 2019, 9(18): 3754(1-19). |
| [100] |
Anh H P H, Son N N, Kien C V. Adaptive neural compliant force-position control of serial PAM robot[J]. Journal of Intelligent & Robotic Systems, 2018, 89(3 / 4): 351-369. |
| [101] |
Wang T, Song A G. An adaptive iterative learning based impedance control for robot-aided upper-limb passive rehabilitation[J]. Frontiers in Robotics and AI, 2019, 6: 41(1-11). |
| [102] |
Wang T, Chen X X, Qin W. A novel adaptive control for reaching movements of an anthropomorphic arm driven by pneumatic artificial muscles[J]. Applied Soft Computing Journal, 2019, 83: 105623(1-7). |
| [103] |
Robinson R M, Kothera C S, Sanner R M, et al. Nonlinear control of robotic manipulators driven by pneumatic artificial muscles[J]. IEEE / ASME Transactions on Mechatronics, 2016, 21(1): 55-68. DOI:10.1109/TMECH.2015.2483520 |
| [104] |
Ide S, Nishikawa A. Muscle coordination control for an asymmetrically antagonistic-driven musculoskeletal robot using attractor selection[J]. Applied Bionics and Biomechanics, 2018, 9737418(1-10). |
| [105] |
Liu K, Wu Y, Ge Z S, et al. Adaptive multi-objective optimization of bionic shoulder joint based on particle swarm optimization[J]. Journal of Shanghai Jiaotong University, 2018, 23(4): 550-561. DOI:10.1007/s12204-018-1958-1 |
| [106] |
Teramae T, Ishihara K, J, et al. Human-in-the-loop control and task learning for pneumatically actuated muscle based robots[J]. Frontiers in Neurorobotics, 2018, 12: 71(1-10).
|
| [107] |
Liu K, Chen Y N, Xu J Q, et al. Fuzzy torque control of the bionic flexible manipulator actuated by pneumatic muscle actuators[J]. Chinese Journal of Mechanical Engineering, 2019, 32(1): 79(1-15). |
| [108] |
Li Y, Tian M Q, Wang X S. Fuzzy self-tuning PID control of a lower limb soft exosuit based on pneumatic artificial muscles[C]. Proceedings of the 2019 IEEE 3rd Advanced Information Management, Communicates, Electronic and Automation Control Conference. Chongqing: IEEE, 2019: 843-848.
|
| [109] |
Liu K, Wu Y, Zhu T M, et al. Improved RBF network torque control in flexible manipulator actuated by PMAs[J]. Robotica, 2019, 37(2): 264-280. DOI:10.1017/S0263574718001005 |


J, et al. Human-in-the-loop control and task learning for pneumatically actuated muscle based robots[J]. Frontiers in Neurorobotics, 2018, 12: 71(1-10).