不确定多指标决策是现代决策科学的一个重要组成部分, 其理论和方法已广泛地应用于工程设计、经济、管理和军事等诸多领域.随着人们所考虑问题的复杂性、不确定性以及人类思维的模糊性, 为了表征决策信息的模糊性、随机性和灰色性, 决策信息常以区间数的形式给出.此外, 由于决策环境和决策对象处于动态变化中, 决策者在进行决策时, 需要综合考虑决策对象在不同阶段的决策信息, 才能准确把握决策对象的动态发展态势进行决策.由于不确定动态决策具有广泛的应用场景和应用空间, 不确定动态多指标决策问题的研究已成为研究热点[1-2].
目前, 围绕动态多指标决策问题探讨的文献主要集中在以下3个方面: 1)指标权重和时间权重均已知的动态多指标决策问题. Wei[3]利用灰关联决策模型解决了包含多种数据类型的动态混合多属性决策问题; Jin等[4]提出了一种动态直觉模糊加权几何(DIFWG)算子和不确定动态直觉模糊加权几何(UDIFWG)算子进行时间信息集结, 进而利用VIKOR方法进行排序; Yi等[5]针对具有激励特征的动态综合评价问题, 设定各阶段的发展增益理想点, 基于决策者偏好赋予动态激励偏好系数, 提出一种基于时序增益激励的信息集结方法. 2)指标权重已知、时间权重未知的动态多指标决策问题. Sun等[6]考虑决策信息价值流失, 提出了时间权重的指数函数表达式, 利用可能度进行方案排序; Yang等[7]定义了动态直觉正态模糊加权平均(DINFWAA)算子和动态直觉正态模糊加权几何平均(DINFWGA)算子, 在构建灰熵与时间度优化模型和时间权重贴近度最大化模型确定时间权重基础上, 对各方案信息进行集结排序; Liao等[8]以均值和理想点为双参考点, 考虑方案属性值偏差构建优化模型以确定时间权重, 提出了考虑速度特征的物元分类动态综合评价方法. 3)指标权重未知、时间权重未知的动态多指标决策问题. Hao等[9]基于阶段发展特征设置决策动态参考点, 构建综合前景值最大模型确定各阶段准则权重, 在设计方案前景值范围估算模型基础上, 利用方案区间前景值进行排序; Zhu等[10]设定正理想点、期望为静态参考点, 平均发展速度为动态参考点, 结合方差与时间度构建时间权重优化模型, 进而对方案前景值集结排序; Wang等[11]结合灰熵和时间度确定权重, 提出了一种基于前景理论的三参数动态多属性决策方法. Chen等[12]综合考虑决策者偏好、决策信息波动性和权重不确定性, 构建极大熵和最小方差的多目标规划模型以确定时间权重, 提出了基于误差传递和隶属度的动态决策方法.
此外, 区间数相对相似关系理论对区间数相似度给出了新的定义.基于区间数相对相似度的指标赋权思想是:通过测度某指标下各方案的区间数指标值的相似程度表征该指标的离差, 进而确定指标权重[13].该方法很好地反映了决策对象指标序列空间关系和形状关系的接近程度和相似程度, 集中体现了决策方案间的联系与差异.鉴于上述优势, 相对相似关系理论大多被应用于多属性决策领域[14].
现有研究丰富了动态多指标评价方法体系, 为开展不确定环境下动态决策提供了方法支撑.但现有研究仍有一些不足之处, 主要表现为: 1)指标权重确定仅考虑主观偏好或者仅考虑客观差异性, 不够全面; 2)时间权重的确定忽略了决策信息的时间价值对决策的影响; 3)现有基于相似度的评价研究大多聚集于单时间点的静态决策情境, 少有针对动态决策情境的研究.鉴于此, 本文提出一种针对决策信息为区间数的动态多指标决策方法.借鉴离差最大化思想, 基于区间数相对相似关系理论和主客观赋权思想构建优化模型以确定指标权重; 根据新信息优先原理, 基于矩阵范数确定时序增长序数, 进而利用灰熵和时间度确定时间权重; 在基于向量投影思想改进向量相似度基础上, 测度各备选决策方案与正负理想方案的向量相似度, 进而确定决策方案综合向量相似度并对其进行排序.最后通过实例分析验证该方法的有效性.
1 基于改进向量相似度的区间数动态多指标决策方法设有一动态多指标决策信息系统S={A, B, T}.其中: A={A1, A2, ..., Ai, ..., Am}为决策方案集合, 且m≥ 2;B={B1, B2, ..., Bj, ..., Bn}为决策指标集合, 且n≥2; T={T1, T2, ..., Tt, ..., Tq}为决策时间点集合, 且t≥2; ∀Ai∈A, ∀Bj∈B, ∀Tt∈T.方案Ai的指标Bj在时间Tt的指标值为


在决策中, 为了统一指标间的不可公度性和矛盾性, 需要对指标进行规范化处理, 设


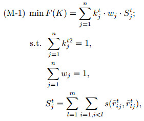
多指标决策问题中的指标权重确定, 一般期望权重区分度越高越好.考虑到基于区间数相对相似度的客观赋权算法是基于评价指标原始数据间的差异程度进行指标权重确定的, 所得结果易受原始数据的差异性和数据波动的影响.因此, 本文在考虑指标属性权重(指标本身重要性的量度)的基础上[15], 借鉴离差最大赋权算法[16], 提出确定指标可变权重向量K的区间数相对相似度最小规划模型(M-1), 即
|
|
在约束条件中:
1) 指标属性权重向量W=(w1, w2, ..., wj)T可通过层次分析法或相关赋权方法获得;
2) 
解此最优化模型, 并对权重向量进行归一化处理, 可得指标最优权重值为
|
(1) |
确定指标属性权重和指标可变权重后, 可得加权规范化决策矩阵为
|
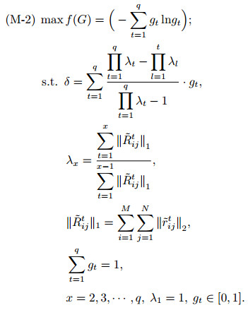
决策信息随时间推进会出现信息过时、失真等情况, 所以新信息的决策参考价值大于旧信息.同时, 决策者对于时间序列存在不同偏好, 如短期投资者看重近期数据, 长期投资者相对看重远期数据.因此, 本文全面考虑决策信息时间价值和决策者偏好, 构造时序权重增长系数并改进时间度公式, 考虑时间权重的不确定性, 利用灰熵和时间度[17]构建优化模型(M-2)以确定时间权重, 即
|
在约束条件中:
1) λx为时序权重增长序数, 以体现新信息蕴含的决策参考价值大于老信息[18].
2) δ为时间度.在考虑决策信息的时间价值后, 基于时序权重增长系数提出一种新时间度表达式.其能够反映在决策信息提取过程中决策信息的时间价值和决策者对时间序列的重视程度, 以弥补以往的时间度表达式将各时间点信息包含的决策参考价值视为等同的不足.
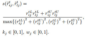
1.3 正负向量相似度的计算相似度测量是确定两个对象相似程度的有效工具, 向量相似度综合考虑向量的范数与角度信息[19], 将决策对象间相似程度表征得更为准确, 其决策的结果也更科学合理.
定义1 设



将各时间点下的方案视为空间中一点, 各时间的备选方案点和正负理想方案点与原点相连构成方案向量和正负理想向量, Vt+、Vt-和Vit为Tt时间点下的加权正负理想向量和加权方案向量.于是, 每个Vit与Vt+和Vt-的正负向量相似度为X(Vit, Vt+)和X(Vit, Vt-).以Tt时间点下Vit与Vt+的正向量相似度X(Vit, Vt+)为例, 给出向量相似度表达式
|
(2) |
其中Tt时间点下Vit与Vt+的方向相似度η(Vit, Vt+)为
|
(3) |
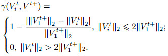
根据文献[19]对范数相似度的改进, Tt时间点下Vit与Vt+的范数相似度γ(Vit, Vt+)为
|
(4) |
其中V1t+为理想向量的投影向量.则有
|
VitVt+为方案点与正理想方案点构成的向量, 
文献[19]忽略了方案点与参考点的空间位置关系对范数相似度的影响, 因此, 导致其所得到的向量相似度更大的方案不一定更优.如图 1, 假设V+和Vi分别是由原点与理想点和方案点构成的理想向量和方案向量, 且两向量范数相等, 是V1+在V+上的投影向量, 显而易见, 在方向相似度相等的情况下, γ (V+, Vi)>γ(V+, V1+), 所以X(V+, Vi)>X(V+, V1+), 结果为方案Vi优于V1+.而实际上, 因为V1+距离理想方案V+更近, 所以方案V1+更优.
|
图 1 空间向量关系 |
本文借鉴向量投影思想, 以V1+为临界向量对原范数相似度做出合理改进.新γ的计算公式有以下性质: 1)当V+与Vi重合时, cos〈α, β〉=1, 该公式与文献[19]相同; 2)当V+与Vi不重合时, Vi与V+相差越小, 范数相似度越大, 反之越小; 3)当Vi等于V+时, 范数相似度达到最大为1, 此时方案点与参考点的空间位置最接近.
改进后的向量相似度X(V+, Vi)综合考虑了向量的范数、夹角和空间位置信息, 直接反映了方案向量与理想向量的相似程度, 同时体现了方案点与理想方案点的接近程度.即方案向量与理想向量的夹角〈V+, Vi〉越小, 方向相似度η越大(方案点与理想点越接近); 方案向量与理想向量的范数差距越小, 范数相似度γ越大(方案点与理想点越接近).所以X(V+, Vi)越大, 方案点与理想点越接近, 以此可以对各决策对象进行排序.
1.4 综合向量相似度的计算设Tt时间点下的X(Vit, Vt+)为决策方案Ai的正向量相似度, X(Vit, Vt-)为决策方案Ai的负向量相似度, 则Tt时间点下决策方案的综合向量相似度RX(Ai)t[13]为
|
(5) |
备选决策方案Ai的总体向量相似度RX(Ai)为
|
(6) |
由文献[13]知, RX(Ai)≤0.若RX(Ai)t越大, 则决策方案向量集Vi与正理想向量的向量相似度就越大越接近, 与负理想向量的向量相似度就越小越远离, 即决策方案越优.当同时有X(Vit, Vt+)= max{X(Vit, Vt+)}且X(Vit, Vt-) =min{X(Vit, Vt-)}时, 总体向量相似度RX(Ai)=0, 达到最大值.于是可以按照总体向量相似度RX(Ai)从大到小的顺序对决策方案集A进行优劣排序.
1.5 区间数动态多指标决策方法步骤基于改进向量相似度的区间数动态多指标决策方法步骤如下.
Step 1:对原始决策矩阵

Step 2:运用层次分析法或相关赋权方法确定决策指标属性权重向量W; 利用式(1)求解基于区间数相对相似度最小规划模型(M-1), 得到最优可变权重向量K.
Step 3:利用灰熵和时间度的极大熵模型(M-2)求解得到时间权重向量G.
Step 4:根据定义2确定各时间点的正负理想决策方案At+和At-; 利用式(2)~(4)计算决策方案与正负理想决策方案的正负向量相似度X(Vit, Vt+)和X(Vit, Vt-).
Step 5:利用式(5)和(6)将各时间的正负向量相似度集结成综合向量相似度RX(Ai), 并进行方案排序.
2 实例分析某工程公司承接了一个大型工程项目, 由于考虑到可能出现资金不足、工程过于复杂等情况, 为减少业务上的风险, 承包商往往将一个工程项目分解成若干单项工程, 将单项工程外包给具有技术专长的分包商.考虑到每次与新的分包商合作需要重新磨合, 这会给工程实施带来意外的风险.为此, 该工程公司将进行分包商的选择, 通过考察评估决策对象近几年的实际工作表现, 希望寻找到一家能长期合作的分包商.工程项目涉及诸多人力、物力和财力的协调, 需要分包商具备多方面把控的能力, 在保证质量的前提下按时完成任务.因此, 对分包商选择的决策需要考察多个时间多方面的表现, 该决策实际上是一个动态多指标决策问题.
经过详细的市场调查和初步筛选, 有4家分包商Sd(d= 1, 2, 3, 4)成为备选对象, 同时在充分调研和专家咨询的基础上, 该工程公司将通过以下指标进行评估:可靠性(B1)、进度控制能力(B2)、管理能力(B3)和劳动力素质(B4), 四项指标均为效益型指标.由于决策指标的复杂性、决策者认知水平的差异性等不确定性因素的存在, 实际决策中难免出现偏差, 使得决策信息具有不确定性.具体指标值由专家组根据各分包商在2015~2017年的现实情况打分给出, 指标取值为区间数, 见表 1.
| 表 1 各时间点初始决策信息 |
Step 1:利用文献[13]的无量纲化方法对区间指标值规范化处理, 得到规范化区间指标值.
Step 2:根据专家获得指标属性权重向量W=(B1, B2, B3, B4)=(0.20, 0.25, 0.20, 0.35), 利用式(2)求解模型(M-1)可得各时间点指标可变权重分别为
|
Step 3:利用文献[17]的时间度设定规则, 经决策者建议, 时间度取值为0.3, 即明显重视近期数据.于是根据模型(M-2), 利用Lingo得到时间权重向量为G = (0.154, 0.292, 0.554).
Step 4:根据定义1确定各时间点的正负理想方案, 由式(3)~(5)计算出各方案正负向量相似度值, 见表 2.
| 表 2 各时间点正负向量相似度 |
Step 5:两两比较可得排序结果为S2


为了进一步验证该动态多指标决策方法的科学性和有效性, 采用Topsis法、余弦相似度法[20]和基于蛛网面积的决策法[21]进行比较评价, 得到的结果见表 3~表 5.
| 表 3 Topsis法的决策排序结果 |
| 表 4 余弦相似度的决策排序结果 |
| 表 5 基于蛛网面积的决策排序结果 |
由表 3知, Topsis法得到的结果与本文结果几乎相同, 然而Topsis法可能出现方案正偏差较小的同时负偏差也较小, 导致方案逆排序.由贴近度可见S4

由表 4知, 余弦相似度法得到的结果与本文结果不一致, 为S2


由表 5知, 基于蛛网面积的决策方法得到的结果与本文一致.但相比之下, 该方法仅考虑了正理想方案信息, 同时设定指标夹角相等, 未考虑指标间的相关性, 因此, 本文方法更为合理.
3 结论决策信息的不确定性和动态性使得区间数动态多指标决策问题更加复杂, 针对不确定环境下的动态多指标决策问题, 本文提出了一种区间数动态多指标决策方法.该方法考虑不同时间点下区间数型指标观测值的相对相似关系以及指标自身重要性, 构建指标权重优化模型; 然后综合考虑了决策信息时间价值和决策者时间偏好, 基于灰熵和时间度确定时间权重; 最后利用向量相似度刻画决策方案向量与正负理想方案向量的相似程度以表征其接近程度, 进而进行方案排序.本文将基于相似度的决策模型应用于动态决策环境中, 该模型的提出可为指标权重未知、时间权重未知的决策信息为区间数的动态多指标决策提供理论借鉴, 在确定指标权重过程中可以减少主观偏好和决策信息扰动的影响, 在确定时间权重过程中既考虑了时间价值也考虑了决策者时间偏好; 针对传统向量相似度方法忽略了方案点与参考点的空间位置关系对范数相似度的影响问题, 借鉴向量投影思想提出了改进方法.这一研究为拓展动态多指标决策方法提供了思路和理论参考, 也为在不确定环境下有效集结决策信息进行科学决策提供了技术支撑, 具有较高的应用价值.
| [1] |
Chen Y, Li B. Dynamic multi-attribute decision making model based on triangular intuitionistic fuzzy numbers[J]. Scientia Iranica, 2011, 18(2): 268-274. DOI:10.1016/j.scient.2011.03.022 |
| [2] |
Sun B, Ma W. An approach to consensus measurement of linguistic preference relations in multi-attribute group decision making and application[J]. Omega, 2015, 51(1): 83-92. |
| [3] |
Wei G. Grey relational analysis model for dynamic hybrid multiple attribute decision making[J]. Knowledge-Based Systems, 2011, 24(5): 672-679. DOI:10.1016/j.knosys.2011.02.007 |
| [4] |
Jin H P, Cho H J, Kwun Y C. Extension of the VIKOR method to dynamic intuitionistic fuzzy multiple attribute decision making[J]. Computers & Mathematics with Applications, 2013, 65(4): 731-744. |
| [5] |
Yi P T, You H Y, Guo Y J, et al. Multi-phase evaluation method of information aggregation based on phases gain inspiriting[J]. Systems Engineering, 2015, 33(12): 126-131. |
| [6] |
Sun B, Xu X F. A dynamic stochastic decision-making method based on discrete time sequences[J]. Knowledge-Based Systems, 2016, 105(C): 23-28. |
| [7] |
Yang Z, Li J, Huang L, et al. Developing dynamic intuitionistic normal fuzzy aggregation operators for multi-attribute decision-making with time sequence preference[J]. Int J of Expert Systems with Applications, 2017, 82(C): 344-356. |
| [8] |
Liao Z G, Zhan M, Xu J P. Dynamic comprehensive evaluation and speed characteristics analysis of a matter-element method[J]. Chinese J of Management Science, 2015, 23(11): 119-127. |
| [9] |
Hao J J, Zhu J J, Liu S F. Multi-stage stochastic multi-criteria decision making method based on prospect theory[J]. Chinese J of Management Science, 2015, 23(1): 73-81. |
| [10] |
Zhu J J, Ma Z Z, Wang H H, et al. Risk decision making method using interval numbers and its application based on the prospect value with multiple reference points[J]. Information Sciences, 2017, 385/386: 415-437. DOI:10.1016/j.ins.2017.01.007 |
| [11] |
Wang X, Dang Y G. Dynamic multi-attribute decision making methods with three-parameter interval grey number[J]. Control and Decision, 2015, 30(9): 1623-1629. |
| [12] |
Chen W, Li J Q, Yang Z L. A dynamic grey target multi-attribute decision-making method based on error propagation and membership degree[J]. J of Systems & Management, 2017, 26(6): 1034-1042. |
| [13] |
Huang Z L, Luo J. Study on relative similarity elation method for uncertain multi-attribute decision making problem[J]. System Engineering—Theory & Pratice, 2015, 35(11): 2917-2924. |
| [14] |
Chen X, Huang Z L, Luo J. Approach for triangular fuzzy number based uncertain multi-attribute decision making based on relative similarity degree relation[J]. Control and Decision, 2016, 31(12): 2232-2240. |
| [15] |
Peng Z L, Zhang Q, Li Z R, et al. Improved maximizing deviation decision-making model and its application in multi-mission planning of near space system[J]. System Engineering—Theory & Pratice, 2014, 34(2): 421-427. |
| [16] |
Wang Y M. Using the method of maximizing deviations to make decision for multiindicies[J]. J of Systems Engineering and Electronics, 1998, 20(7): 24-26. |
| [17] |
Guo Y J, Yao Y, Yi P T. A method and application of dynamic comprehensive evaluation[J]. System Engineering—Theory & Pratice, 2007, 27(10): 154-158. |
| [18] |
Qian W Y, Dang Y G, Liu S F. Model of dynamic multiple index decision based on driving principle of difference and mean correlation degree[J]. J of Systems Engineering and Electronics, 2012, 34(2): 337-341. |
| [19] |
Zeng J, Wang J, Guo J Y. Local multi-model method based on similarity of vector[J]. Application Research of Computers, 2012, 29(5): 1631-1633. |
| [20] |
Ye J. Cosine similarity measures for intuitionistic fuzzy sets and their applications[J]. Mathematical & Computer Modelling, 2011, 53(1): 91-97. |
| [21] |
Zeng B, Li C, Liu S F. A novel grey target decision-making model based on cobweb area and its application for choosing the software development pattern[J]. Scienta Iranica, 2016, 23(1): 361-373. DOI:10.24200/sci.2016.3840 |
2019, Vol. 34
